[Front page] [Contents] [Printing instructions][Back]

THE BICHEL COMMITTEE

 

 

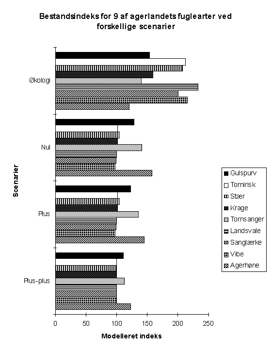
Figure 7.3

Scenarier = Scenarios
Økologisk = Organic
Nul = Zero
Plus = Plus
Plus-plus = Plus-plus
Gulspurv = Yellow bunting
Tornirisk = Linnet
Stær = Starling
Krage = Crow
Tornsanger = Whitethroat
Landsvale = Swallow
Sangærke = Lark
Vibe = Lapwing
Agerhøne = Partridge

Calculated population indices for nine species of farmland birds in different scenarios, with Present Cropping put at index 100. Indices are calculated on the basis of the agronomically and economically optimised crop rotation regimes. A comparison has also been carried out with the organic scenario.