[Forside]

Prøvetagning af porevand i umættet zone

Et litteraturstudie


Indholdsfortegnelse

Forord

Sammendrag

English summary

1. Introduktion
1.1 Baggrund
1.2 Problemstilling
1.3 Formål
1.4 Projektomfang

2.Umættet zone2.Umættet zone
2.1 Umættet zone - definitioner
2.2 Porevand
2.3 Vandtransport i umættet zone
2.4 Stoftransport i umættet zone
2.5 Parameterisering af vand- og stoftransport i simuleringsmodellen MACRO

3. Prøvetagning af porevand
3.1 Generelle betragtninger
3.2 Prøvetagningsmetoder
3.2.1 Vakuumprøvetagerere Vakuumprøvetagerere Vakuumprøvetagerere
3.2.2
3.2.2
Gravitations-prøvetagere Gravitations-prøvetagere
3.2.3
3.2.3
Gravitations-prøvetagere Gravitations-prøvetagere
3.2.3
3.2.3
Øvrige prøvetagningsmetoder

4. Konklusion4. Konklusion

5. Litteratur5. Litteratur
5.1 Litteratursøgning
5.2 Litteraturliste

Bilag - Omregningstabel for porevandstryk


Forord

Projektet er udarbejdet for Miljøstyrelsen, Jordforureningskontoret af Geoteknisk Institut i samarbejde med Danmarks JordbrugsForskning.

Projektet er financieret som et teknologiudviklingsprojekt.

Projektrapporten er skrevet af:

Morten Kjærgaard, Geoteknisk Institut

i samarbejde med

Hubert de Jonge og
Lis Wollesen de Jonge, Danmarks JordbrugsForskning

Systematisk litteratursøgning i internationale databaser er udført af:

John Kruse, Statsbiblioteket, Århus.


Sammendrag

Baggrund
I "Vejledning om oprydning på forurenede lokaliteter" (Miljøstyrelsen, 1998a) er der opstillet et princip for risikovurdering af en grundvandsressource. Forureningskoncentrationen i det vand, som infiltrerer til grundvandet, er meget betydende for, om jordforureningen vurderes at udgøre en risiko for grundvandet. I nogle situationer kan koncentrationen estimeres ud fra en vandprøve udtaget i bunden af en tankgrav eller et ledningstracé. Alternativt må forureningskoncentrationen i porevandet beregnes ud fra fugacitetsprincippet, eller der må regnes med maksimal opløselighed. Disse metoder fører i de fleste tilfælde til en væsentlig overestimering af risikoen. For produktblandinger og metaller gælder, at det ikke er muligt at foretage en beregning ud fra fugacitetsprincippet.

Formål
På denne baggrund har Miljøstyrelsen iværksat nærværende litteraturstudie af metoder til prøvetagning af porevand fra den umættede zone. Der er udarbejdet en sammenfatning af beskrevne prøvetagningsmetoder, herunder fordele/ulemper af teknisk karakter i forhold til typisk danske forhold. Endvidere gives forslag til metoder, som potentielt vurderes at kunne udvikles til prøvetagningsmetoder i forbindelse med almindelig rådgivningsydelse.

Projektomfang
Projektet omfatter de stoffer, som Miljøstyrelsen har fastlagt grundvandskvalitetskriterier for.

Rapportens indhold
...vand- og stoftransport
Efter en introduktion (afsnit 1) indeholder afsnit 2 en kort beskrivelse af tilbageholdelseskræfter, som fastholder porevandet, herunder en beskrivelse af retentionskurver. Endvidere gives en kortfattet beskrivelse af vand- og stoftransport i umættet zone, med angivelse af væsentlige ligninger, som beskriver transporten. I rapporten findes en meget kortfattet beskrivelse af parameteriseringen af vand- og stoftransport i simuleringsmodellen MACRO.

Rapportens afsnit 3 indeholder generelle betragtninger om problemer med hydrauliske og kemiske forandringer i og omkring prøvetagere og en vurdering af, hvor store vandprøver det er nødvendigt at udtage. Herefter følger, som den væsentligste del af rapporten, en gennemgang af beskrevne prøvetagningsmetoder og deres fordele og ulemper. De beskrevne prøvetagere er delt op i vakuumprøvetagere, gravitationsprøvetagere og øvrige prøvetagere.

...vakuumprøvetagere
Vakuumprøvetagere omfatter væsentligst sugeceller, som er klart den mest beskrevne prøvetagningsmetode overhovedet. Der gives en beskrivelse af forskellige vakuumsystemer, af betydningen af sugecellers porestørrelse, udformning og kemiske sammensætning og af sugecellernes virkningsafstand.

Der findes få eksempler på anvendelse af sugeceller i forbindelse med organiske forbindelser. Flygtige stoffer vil formentligt fordampe fra sugecellerne, og stoffer som sorberer kraftigt til jorden, og som har lille opløselighed i vand, fx PAH’er, er muligvis også problematiske. Mange metaller, som også bindes kraftigt til jord, og som ikke kan opløses, er dog opsamlet med held i sugeceller. Dieselstoffer, samt stoffer der sorberer meget lidt til jord, og har høj opløselighed, som fx MTBE og phenoler, bør kunne opsamles, ligesom en række pesticider med sikkerhed kan opsamles med sugeceller.

Ud over sugeceller findes beskrivelse af filtertip prøvetageren, prøvetagning med hulfibre, membranfiltrering og vakuum-plade prøvetagere. I forbindelse med prøvetagning på forurenede områder synes disse metoder dog generelt at være ufordelagtige i forhold til almindelige sugeceller.

...gravitationsprøvetagere
Gravitationsprøvetagere er opdelt i lysimetre, væge-prøvetagere og andre passive prøvetagere.

Lysimetre (samt væge-prøvetagere) skal nedgraves, hvorfor jorden, og dermed eksisterende forurening, over og omkring lysimetrene bliver stærkt forstyrret, hvilket oftest vil udelukke brug af lysimetre i forbindelse med kortlægning af kendte forureninger. Lysimetre er til gengæld uovertrufne til vurdering af nedsivning/spild, som sker over et allerede etableret lysimeter. I forbindelse med nedsivningsforsøg giver lysimetret således de bedste "referenceværdier" for nedsivningen.

Gravitationsprøvetagere kan også være udformet som fx vertikaltstillede (nedborede) filterrør eller skrå rør eller kamre, som kendes i versioner med ventiler (klapper på røret), der kan åbnes og lukkes. Disse kan nedsættes uden væsentlig forstyrrelse af jord eller grundvand.

En ulempe ved gravitationsprøvetagere er, at de ikke samler vand hele tiden, men kun når porevæsketrykket ligger over markkapacitet, hvorfor prøvetagning, for at mindske tab af flygtige stoffer, bør ske umiddelbart efter en nedsivningshændelse.

...øvrige prøvetagningsmetoder
Af øvrige prøvetagningsmetoder beskrives ekstraktion (udskylning/udvaskning i vand) og udcentrifugering af porevand. Begge metoder baserer sig på udtagning af jordprøver, og begge er metoder vurderes som potentielt anvendelige. De kræver dog videreudvikling og dokumentation.

Konklusion
Litteraturstudiet har givet yderst få artikler om prøvetagning af stoffer, for hvilke der er fastlagt grundvandskvalitetskriterier. Det må fastslås, at der i øjeblikket ikke findes nogle generelle metoder, som kan dokumenteres at være anvendelige til prøvetagning af porevæske, der indeholder de nævnte stoffer. Følgende metoder vurderes dog potentielt at være anvendelige, og kan eventuelt udvikles til egentlige "prøvetagningsmetoder":

  • Sugeceller
  • Passiv prøvetager (fx rørformet)
  • Vandig ekstraktion/udskyldning
  • Centrifugering
  • Beregning efter fugacitetsprincippet

Afprøvning af metoderne kan gennemføres i tre faser, hvor der indledningsvist udføres afprøvning under kontrollerede laboratorieforhold. Herudfra udvælges en eller to metoder som testes i udendørs lysimeterforsøg. Endelig gennemføres undersøgelser med de udvalgte metoder på forureningslokaliteter.

Til undersøgelse af metoderne kan der udvælges to organiske stoffer med forskellige udvasknings/desorptions-forhold samt et eller to metaller. Undersøgelserne bør foregå med jordtyper bestående af moræneler og smeltevandssand, som er repræsentative for henholdsvis østdanske og vestdanske forhold. Ved etablering af lysimetre skal jordlagene forstyrres mindst muligt. Det skal overvejes, hvordan man bedst muligt kan bevare sprækkezoner. Om muligt bør der anvendes lysimetre, som har været pakket i en årrække.


English summary

Background
Included in "Guidance for Remediation of Contaminated Sites" (The Danish EPA, 1998a) is a method for performing a risk-based evaluation for contamination of a groundwater resource. The level of contamination concentrations in the water infiltrating the groundwater, is an essential element in the evaluation of a given soil contamination to determine if the contamination is posing a risk for the groundwater. In some cases, the concentrations may be found by analysis of a water sample collected in the bottom of a tank bed or from a utility trench. Alternative approaches include the fugacity method, where contamination concentrations in the water, located in the unsaturated zone are estimated, or to use the solubility of each contamination compound. These alternative methods normally lead to significant overestimation of the risks of groundwater contamination. Furthermore, calculations based on the fugacity method are not valid for product mixtures or metals.

Purpose of study
The Danish EPA has initiated this study to identify the methods described in literature and papers for sampling of pore liquids from the unsaturated zone. The study generated a comprehensive list of the identified sampling methods, and included a technical evaluation of each methods pros and cons under typical Danish conditions. Furthermore, the study provides examples of methods that may be developed into sampling methods that may be provided as normal environmental consulting services.

Compounds
The study has been narrowed to the compounds included in Danish EPA’s Groundwater Standards

Content of the report
...transport of water and compounds
After the Introduction in Chapter 1, Chapter 2 includes a brief description of adhesive forces that restrain the pore water, a brief description of retention curves is also provided. Chapter 2 gives a short review of the transportation mechanisms for water and compounds in the unsaturated zone, including the most important equations for describing the transport. Also, this chapter contains a brief explanation of the parameterization of water and compound transport for use in the MACRO model.

Chapter 3 presents a general discussion of hydrogeological and chemical changes in the vicinity of, and inside the samplers along with an assessment of the required sample volume. After this discussion, as a major part of this report, Chapter 3 presents a comprehensive review of the identified sampling methods along with the methods pros and cons. The types of samplers mentioned in this study, are divided into three groups: Zero-tension samplers, tension samplers, and other samplers.

...tension samplers
The group of vacuum samplers mainly include suction cells, which is the most commonly described sampling method. A general description of the different vacuum systems is provided along with a discussion of the pore size, design, chemical structure and the cells area of efficiency.

There are only few examples of utilizing suction cells for sampling of organic compounds. Highly volatile compounds would presumably evaporate from the suction cells. Sampling in suction cells of compounds with strong sorption to the soil particles combined with only limited solubility in water, as e.g. PAH’s, will probably also prove less useful. However, different types of metals, which generally also have a strong sorption to soil particles and are undissolvable in water, are proven successfully sampled in suction cells. Heavy petroleum compounds, and compounds that only have a limited sorption to the soil particles combined with a solubility in water, as e.g. MTBE and phenoles, would probably be successfully sampled in suction cells. Also, suction cells can be utilized for sampling a wide range of pesticides.

In addition to suction cells, Chapter 3 describes the filter tip sampling system, sampling with hollow fibers, membrane filtering and the vacuum plate sample system. Compared with the suction cell sampling system, these systems generally seem less effective or inadequate for sampling at contaminated sites.

...zero-tension samplers
Zero-tension sampling systems are divided into three groups: Lysimeters, wick sampling systems and other passive sampling systems.

Installation of lysimeters, (along with the wick sampling systems) requires excavation, which will disturb the structure of both soil and contamination in the investigation area. These sampling methods are, therefore, useless for investigation of magnitude and extent of known contaminations. Lysimeters, however, are unsurpassed for assessment of the magnitude of infiltration or spills over an preinstalled lysimeter. The lysimeter method provides unequaled "reference values" for the infiltration.

Zero-tension sample systems may be designed as e.g. vertical screens, pipes or compartments to be installed by various drilling methods. The pipe and compartment type systems most often include flaps that may be opened and closed for sampling. These systems may be inserted into the ground with minor disturbing of soil or groundwater.

A disadvantage to these types of sampling systems is that the sampling only occurs when the pore water pressure is above the field capacity. To minimize the loss of volatile compounds, sampling should only take place immediately after an infiltration event.

...other sampling methods
Other sampling methods described in this study include water extraction of soil samples and centrifugation of pore water from soil samples. Both methods are based on collection of soil samples, and both sampling methods seem to be potentially adequate sampling methods. These two methods, however, require further development and documentation.

Conclusion
This literature study has found only few papers concerning the compounds which are included in the Danish Groundwater Standards. At this time, none of the identified sampling systems are documented to be adequate for conducting sampling of the pore water for the specified compounds. The following sampling methods, however, seems to be potential adequate and may be developed into suitable "standard sampling methods":

  • Suction cell systems
  • Passive sampling systems (e.g., screens)
  • Water extraction of soil samples
  • Centrifugation of pore water from soil samples
  • Calculations based on the fugacity method

Testing of the methods may be completed in three phases, where the methods are initially tested in a controlled laboratory environment. Based on the laboratory results, one or two methods are selected for tests in outdoor located lysimeters. The third test phase should include tests of the selected methods on contaminated sites.

For test and evaluation of the sampling methods, two organic compounds with different leaching/sorption potentials may be selected for the tests along with one or two metals. The tests should be conducted in two soil types, till and outwash sand as these two soil types are representative for the soil types in the eastern and western part of Denmark respectively. During installation of the lysimeters disturbing of the soil should be minimized. Also, it should be determined how naturally occurring zones of cracks and fractures of the soil may be preserved. If possible, old lysimeters which was packed several years ago, and has now achieved a natural soil structure should be utilized for the tests.


1. Introduktion

1.1 Baggrund
1.2 Problemstilling
1.3 Formål
1.4 Projektomfang

1.1 Baggrund

I "Vejledning om oprydning af forurenede lokaliteter" (Miljøstyrelsen, 1998a) er der opstillet et princip for risikovurdering af en grundvandsressource. Med udgangspunkt i forureningens styrke beregnes, om forureningen som følge af spredning, dispersion og sorption vil medføre risiko for overskridelse af grundvandskvalitetskriterierne og dermed udgøre en risiko for grundvandsressourcen. Hvis dette er tilfældet beregnes betydningen af en eventuel naturlig nedbrydning af de opløste miljøfremmede stoffer, for at vurdere, om forureningen stadig udgør en risiko.

En parameter i risikovurderingen er nedbrydningen, som desværre har vist sig meget svær et estimere. For at imødekomme dette, har Miljøstyrelsen, under teknologipuljen, forestået et litteraturstudie om naturlig nedbrydning af miljøfremmede stoffer i jord og grundvand (Kjærgaard et al., 1998).

Forureningsoncentrationen i det vand, som infiltrerer til grundvandet, er meget betydende for, om jordforureningen vurderes at udgøre en risiko for grundvandet. I nogle situationer kan koncentrationen i det infiltrerende vand estimeres ud fra en vandprøve udtaget i bunden af en tankgrav eller et ledningstracé. Alternativt må porevandskoncentrationen beregnes ud fra fugacitetsprincippet, eller der må regnes med maksimal opløselighed af den relevante forureningskomponent. Disse metoder fører i de fleste tilfælde til en væsentlig overestimering af risikoen.

For produktblandinger og metaller gælder endvidere, at det ikke er muligt at foretage en beregning ud fra fugacitetsprincippet.

1.2 Problemstilling

Udtagning af porevand i den umættede zone er typisk vanskeligt mht. at opnå en en tilstrækkelig stor prøve inden for en rimelig tid, at undgå ændringer af forureningskoncentrationen under prøvetagning pga. fordampning og/eller sorption på prøvetagningsudstyr og med hensyn til at udtage en repræsentativ prøve. Problemet med repræsentativitet vil særligt gøre sig gældende ved prøvetagning i aflejringer med sprækker, som fx moræneler.

Der kan udtages porevand fra den umættede zone ved hjælp af sugeceller, lysimetre, centrifugering af jordprøver eller ekstraktion (udskylning) af jordprøver. De nævnte metoder har alle fordele og ulemper.

Koncentrationen af et miljøfremmet stof skal bestemmes så repræsentativt som muligt, forstået på den måde, at analyseresultatet skal repræsentere den samlede koncentration som infiltrerer pr. arealenhed, dvs. den samlede koncentration som følge af makropore-/sprækkestrømning og matrixstrømning.

Intentionen er, at porevandsprøven skal repræsentere det mobile vand, der transporteres ned til dybereliggende grundvandsmagasiner. Optimalt set skal metoden kunne anvendes på de typisk forekommende miljøfremmede stoffer, dvs. kulbrinter, chlorerede opløsningsmidler, metaller og vandblandbare stoffer.

Det er centralt, at metoden på længere sigt kan anvendes og tilbydes som en almindelig rådgivningsydelse.

Metoden vil formodentlig ikke skulle anvendes til større dybder end ca. 2 m under terræn, og skal så vidt muligt udformes, så der tages hensyn til foretrukne strømningsretninger, eksempelvis sprækker og makroporer. Metoden kunne f.eks. inddrage skråtstillede prøvetagningskamre eller lignende.

På sigt er det intentionen at beskrive, hvordan prøvetagning i den umættede zone skal foretages med angivelse af tidsperiode og prøvehåndtering mv. i forhold til jordtypen. Hvis der anvises en metode til udtagning af porevandsprøver, skal der under alle omstændigheder udarbejdes en eller anden form for dokumentation for, at metoden virker.

Bestemmelse af nedbrydning i den umættede zone og den longitudinale (lodrette) dispersivitet vil være delvist afhængig af, om der kan foretages prøvetagning af porevandskoncentrationen. Oplysninger om den longitudinale dispersivitet skal indgå i litteraturstudiet i det omfang, der er informationer herom i litteratur vedrørende prøvetagning i den umættede zone.

1.3 Formål

Projektet har følgende formål:

  • At udabejde et litteraturstudie af metoder til prøvetagning i den umættede zone, herunder at angive fordele og ulemper af teknisk og økonomisk karakter i forhold til typiske danske forhold. Dispersivitetsforhold omtales i det omfang, de indgår i den valgte litteratur.
  • At give forslag til metoder, som kan udvikles til prøvetagningsmetoder.

1.4 Projektomfang

Projektet er et litteraturstudium, som er baseret på videnskabelige artikler og afhandlinger om porevand og prøvetagning af porevand, der indeholder miljøfremmede stoffer, for hvilke Miljøstyrelsen har fastsat grundvandskvalitetskriterier. De specifikke stoffer, som er omfattet, er angivet i tabel 1.1

Tabel 1.1
Stoffer for hvilke Miljøstyrelsen har fastsat grundvandskvalitetskriterier.

(Miljøstyrelsen, 1998a).

Acetone
Arsen
Benzen
Bly
Bor
Butylacetater
Cadmium
Chlorerede opløsningsmidler
Chloroform
Crom, total
Crom, 6
Cyanid, total
DEHP
Detergenter, anioniske
Diethylether
Isopropylalkohol
Kobber
PAH*
Methylisobutylketon
Methyl-tert-butylether (MTBE)
Mineralolie, total
Molybdæn
Naphthalen
Nikkel
Nitrophenoler
Pentachlorphenol
Pesticider, total
Pesticider, enkeltkomp.
Pesticider, persistente klorerede
Phenoler
Pthalater
Styren
Toluen1,2-dibromethan
Vinylchlorid
Xylener

* Sum af fluoranthen, benz(b)fluoranthen, benz(k)fluoranthen, benz(a)pyren, benzo(g,h,i)perylen, indeno(1,2,3-cd)pyren.


2. Umættet zone

2.1 Umættet zone - definitioner
2.2 Porevand
2.3 Vandtransport i umættet zone
2.4 Stoftransport i umættet zone
2.5 Parameterisering af vand- og stoftransport i simuleringsmodellen MACRO

2.1 Umættet zone - definitioner

Vi definerer den umættede zone som det, der ikke tilhører hverken den mættede zone eller den kapillære overgangszone, som ligger umiddelbart over grundvandsspejlet.

I forbindelse med risikovurdering af grundvandsressourcen (Miljøstyrelsen, 1998a) skal det mest forurenede grundvand i et magasin sammenholdes med grundvandskvalitetskriteriet. Ofte vil det til vurderingen være relevant at udtage en vandprøve i et niveau over grundvandsmagasinet, men under grundvandets potentialeniveau; fx i et tykt lerlag som ligger over grundvandsmagasinet. Her er der reelt tale om mættede forhold, grundvandet strømmer blot meget langsomt i leren; det kan fx tage lang tid, inden der kommer vand i et borehul.

Prøvetagning under disse omstændigheder er ikke medtaget i nærværende studie.

2.2 Porevand

I jordens umættede zone er der ikke fri og ubegrænset adgang til vand. Porevandet eller jordvandet, som det også kaldes, opfylder delvist mellemrummene mellem jordpartiklerne, hvor det holdes tilbage af kapillære kræfter. I resten af poremellemrummene findes luft. Vand kan også sidde bundet som en "hinde" (adhæsion) på overfladen af jordpartiklerne.

For at planter kan optage vand fra jorden, må de overvinde et trykpotentiale, også kaldet tension (skyldes adsorption og kapillære kræfter) samt et osmotisk potentiale (som skyldes osmotiske kræfter, hvor der er semipermeable membraner til stede). Der kan ses bort fra gravitationspotentialet, fordi vand og planterødder befinder sig i samme niveau.

Logaritmen til jordens totale negative potentiale målt i cm vandsøjle - med undtagelse af gravitationspotentialet - kaldes pF i analogi til skrivemåden pH. Kurver, som viser sammenhængen mellem pF og jordens vandindhold, kaldes for retentionskurver. Et eksempel på en retentionskurve er vist på figur 1.

Ved høje pF-værdier, fx ved visnegrænsen (pF = 4,2), svarende til at planterne visner på grund af vandmangel, er vandindholdet større i en leret jord end i en sandet jord. Ved lave pF-værdier, typisk under markkapacitet (pF » 2), som svarer til jordens vandindhold efter mætning, når nedsivning er ophørt, er forholdene omvendte med større vandindhold i sandet ler end i leret sand; se fig. 1.

I våd jord er tilbageholdelseskræfterne små, og porevandet kan let fjernes. I tør jord er tilbageholdelseskræfterne store, og det er vanskeligt af fjerne porevandet.

Sugeceller har et maksimalt vacuum på under 1 bar, hvilket ikke er tilstrækkeligt til af fjerne (opsuge) porevand i tørre perioder. Dette vakuum er lavt sammenlignet med naturligt forekommende gradienter på op til 15 bar produceret af vandforbrugende træer (Bennetzen, 1978).

Soil moisture content (vol. %)

Fig. 1. Retentionskurver for tre jordtyper (Ward, 1967).

Se også figur 10.

I den umættede zone kan der i perioder med nedbørsoverskud ske mætning af porer, fx makroporer i en moræneler. Herved vil gravitationskraften på vandet overvinde jordens tilbageholdelseskraft, og der kan ske en mættet transport gennem poren ned mod grundvandsmagasinet (den mættede zone).

2.3 Vandtransport i umættet zone

Transport af vand i jordens umættede zone kan, ligesom i den mættede zone, beskrives ved Darcy’s Lov. Den eneste forskel er, at den umættede hydrauliske ledningsevne ikke er konstant, men falder med faldende vandindhold. Da både vandindhold, trykpotentiale og flow ændres med tiden skrives Darcy’s Lov for den umættede zone på differentiel form

hvor q er Darcy fluxen (m× dag-1), K er den umættede hydrauliske ledningsevne, z er dybden positiv nedad (m) og H er det hydrauliske potentiale (m) som er summen af potentialet som stammer fra porevandstrykket h (m) og gravitationspotentialet –z (m).

Kombineres Darcy’s Lov med kontinuitetsligningen fås Richards ligning, der udtrykker, at vandbevægelse er en kombination af bevægelser, der foregår som følge af gradienter i porevandstrykket og bevægelse som følge af gravitation.

hvor q er vandindholdet (mm-3).

Det er Richards ligning, som anvendes i analytiske løsninger og numeriske computermodeller til beskrivelse af vandtransport. Beskrivelse af vandtransporten kan bl.a. findes hos: Loll og Moldrup, 1998; Schelde, K. et al., 1998 eller Jensen, K.H. & Mantoglou, A., 1992.

Det har vist sig, fx i morænejord, at vandtransporten ofte forekommer i sprækker, uden at der opnås ligevægt med den omgivende jordmatrix (Jørgensen, P.R., 1990; Jørgensen P.R. et al., 1998). I rodzonen drejer det sig især om bioporer, som regnormegange og gamle rodkanaler. Også tørke- og frost/tø-sprækker kan forekomme i de øvre jordlag. I de dybere jordlag er der hovedsageligt tale om tektoniske sprækker, som stammer fra trykket under den sidste istid.

Modelmæssigt er den svenske model MACRO (Jarvis 1991, 1994) blandt de mest omfattende til beskrivelse af sprækketransport i umættet zone. Jorden er delt op i en jordmatrix, hvor transporten beskrives ved Richards ligning, samt makroporer hvor transporten kun foregår under påvirkning af gravitationen. Der foregår transport af stof i begge domæner, og der sker udveksling af vand og opløst stof mellem de to domæner.

2.4 Stoftransport i umættet zone

Stoftransport i væskefasen involverer to processer: konvektiv massetransport, hvor stoffet følger vandet og dispersion som følge af diffusion og hydraulisk dispersion. Hvis stoffets adsorption kan beskrives ved lineær ligevægts-adsorption, kan stoftransporten beskrives ved følgende konvektions-dispersionsligning:

hvor C er stofkoncentrationen, R er stoffets tilbageholdelsesfaktor (retardationskoefficienten- som er afhængig af sorptionsegenskaberne), D er dispersionskoefficienten og vp er den gennemsnitlige lineære porevandshastighed.

Hvis stoffet ikke bindes til jorden, er retardationskoefficienten R = 1. Konvektions-dispersionsligningen kompliceres yderligere, hvis der skal tages hensyn til ikke lineær adsorption samt adsorptionskinetik. Matematisk beskrivelse af stoftransport i den umættede zone beskrives bl.a. af: Mitchell & Mayer, 1998; Jensen, K.H. et al., 1984; Flury, M. et al., 1998 og Nachabe, M.H. et al., 1995.

Da den umættede zone tildels består af et luftfyldt porevolumen, kan flygtige stoffer også bevæge sig ved diffusion i gasfasen. Diffusion i luft er op til 10.000 gange hurtigere end diffusion i vand. For flygtige stoffer kan diffusion i poreluften derfor forårsage en voldsom forøgelse af spredningen i jorden i forhold til den spredning, som alene skyldes massetransport med porevandet. Der kan således forekomme en accelereret spredning mod både grundvandet og jordoverfladen.

I vejledningen "Oprydning på forurenede lokaliteter" (Miljøstyrelsen, 1998a) er der opstillet simple ligninger til beregning af stofkoncentrationen (1-dimensionel stoftransport). Der regnes alene med massetransport med porevandet i jordmatrix, og der ses bort fra sprækketransport og diffusion til luft (Høgh Jensen, K. og Storm, B., 1985).

Mikro- og makroporer
Som bemærket tidligere strømmer porevæske gennem den umættede zone i makroporer og i mikroporer (jordens matrix). Under mættede forhold strømmer væske og opløste stoffer meget hurtigere gennem makroporer end gennem mikroporer. Porevandstransport af forureningskomponenter ind i finere porer vil derfor være begrænset. I konsekvens heraf vil porevæsken i makroporerne have en anden kemisk sammensætning end porevæsken i mikroporerne (Jonge et al., 1998; Thomas and Phillips, 1979). Mikroporerne vil også være mindre følsomme over for udvaskning end makroporerne. For hurtigt nedbrydelige stoffer forstærkes dette af, at iltindholdet i makroporer kan ændres markant over få timer i en "infiltrations-hændelse", mens mikropores iltindhold kun ændres meget langsomt.

Alt i alt medfører disse forskelle i porevæskens kemiske sammensætning , at også sammensætningen af indsamlede porevæskeprøver kan variere meget over tiden og fra lokalitet til lokalitet, afhængigt af, hvordan strømningen er fordelt mellem makro- og mikroporer.

Gravitationsprøvetagere (prøvetagere som virker uden at der er pålagt vakuum) vil overrepræsentere vand fra makroporerne, mens sugeceller (som er pålagt vakuum) vil have tendens til at overrepræsentere vand fra mikroporerne.

Porevæske, som udtages i umættet zone, vil således være påvirket af geologi og hydrogeologi, nedbørsregime, forureningsstoffer samt prøvetagningsmetode. Det kan derfor være fornuftigt at udtage prøver med flere metoder, således at de udtagne prøver repræsenterer monitering fra forskellige flowregimer (ASTM, 1992).

2.5 Parameterisering af vand- og stoftransport i simuleringsmodellen MACRO

Som et eksempel på parameterisering i en simuleringsmodel der beskriver vand- og stoftransport i den umættede zone, tages der udgangspunkt i MACRO (Jarvis, 1991). Der gives i det følgende en meget kort beskrivelse af de ligninger og parametre, som beskriver transportsprocesserne i MACRO.

Fem væsentlige ligninger anvendes i beskrivelsen:

i)

en relation mellem vandindhold og porevandstryk

ii)

en relation mellem vandindhold og hydraulisk ledningsevne

iii)

konvektions-dispersions ligningen

iv)

 

et udtryk for udveksling af vand og stoffer mellem makroporer og mikroporer i struktureret jord

v)

en sorptionsisoterm

 

i)
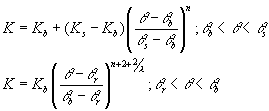
Relation mellem vandindhold og porevandstryk i jorden er ikke-lineær, og bliver beskrevet ved hjælp af en vandretentionsfunktion; den såkaldte "Brooks og Corey funktion" (Brooks and Corey, 1964):

Med h = porevandstryk (m);= vandindhold (m3 m-3), hb = porevandstryk ved grænsen mellem mikroporer og makroporer i jord (m),= vandindhold ved grænsen mellem mikroporer og makroporer i jord,= residualt vandindhold;= mættet vandindhold og = indeks for porestørrelsesfordeling.

De fem parametre i denne ligning bestemmes ud fra direkte måling af vandretentionskurver i laboratoriet (Schjønning, 1985), hvorefter de enkelte parametre bestemmes ved ikke-lineær "curve-fitting".

ii)
Der findes forskellige funktioner, som beskriver relationen mellem vandindhold og ledningsevne. I MACRO anvendes Mualem's funktion:

Beskrivelse af parameterisering af vandtransporten på laboratorie- og markskala kan findes i en række artikler (Genuchten et al., 1999; Loll og Moldrup, 1998; Schelde, K. et al., 1998 og Jensen, K.H. & Mantoglou, A., 1992).

iii)
I homogene jordtyper beskrives stoftransporten i den umættede zone af konvektions-dispersions ligningen. Kritiske parametre R, D, og vp p
bestemmes ved hjælp af kolonneforsøg, hvor transport af modelstofferne gennem en jordkolonne bliver målt og modelleret ved hjælp af enten analytiske eller numeriske teknikker, herunder invers modellering (Genuchten og Wierenga, 1986). I MACRO kan en homogen jordtype enkelt simuleres ved at sætte makroporefraktionen til nul.

iv)
I strukturerede jordtyper simulerer MACRO transport i to domæner, makroporer og mikroporer. I makroporerne er vandtransport og stoftransport beskrevet som simpel gravitationstransport, dvs. dh/dz = 0 i Richards ligning. I mikroporer beskrives vand- og stoftransport ved hjælp af Richards ligning og konvektions-dispersions ligningen.

En nøgleparameter i MACRO er massetransportparameteren b , som beskriver udvekslingshastigheden af vand mellem mikro- og makroporer:

hvor Sw er fluksen, b er en masseoverførselsparameter, q mi er vandindholdet i mikroporerne og q ma er vandindholdet i makroporerne. Fluksen er nul, hvis mikroporerne er vandmættede, eller hvis makroporerne ikke er vandmættede. Der findes ikke en direkte metode til måling af parameteren b , som derfor typisk bestemmes ved kalibrering.

I MACRO er stofudveksling mellem mikro- og makroporer beskrevet ved en empirisk funktion, der beskriver konvektiv transport samt diffusiv udveksling :

Ue = massetransport flux, a = massetransport koefficient, Do er diffusionskoefficienten i vand, cma = stofkoncentration i makroporer, cmi = stofkoncentration i mikroporer, q ma er vandindholdet i makroporerne, c´= cma eller cmi, afhængig af transportretning (cma hvis vandet strømmer fra makroporer til mikroporer). Ligesom parameteren b , kan a ikke måles direkte.

v)
Sorptionsisotermen er en relation mellem ligevægtskoncentrationerne af opløst og adsorberet stof, oftest bestemt vha batch eksperimenter i laboratorium. Den mest simple ligning er en lineær sorptionsisoterm, som er den der bruges i MACRO:

Cs = Kd × Cw

hvor Cs = koncentrationen adsorberet til jord (mg kg-1), Kd er sorptionskoefficienten (l kg-1) og Cw = koncentrationenen i væskefasen (mg l-1). I MACRO antages, at sorptionsligevægten indstilles momentant, det vil sige, at sorp- tionskinetik er negligeret. Det må bemærkes, at denne antagelse kan medføre en utilstrækkelig beskrivelse af sorptions-desorptions reaktionerne, specielt for stærkt adsorberede stoffer som fx PAH’er eller PCB’er, hvor adsorptions- og desorptionsligevægten indstilles meget langsomt. For disse stoffer er desorptionskoefficienterne mere relevante end adsorptionskoefficienterne, som overestimerer mobiliteten af stærkt adsorberede stoffer i jord.

I forbindelse med parameterisering af gastransport kan det bemærkes, at den matematiske beskrivelse af konvektion, diffusion og sorption i gasfasen principielt er identisk med beskrivelsen i vandfasen. Flygtige stoffer bliver transporteret både i vand- og gasfase, og vandindholdet bestemmer det relative bidrag af de to fluxe (Petersen, L.W., 1994). Vandindholdet er således en særlig kritisk parameter for gastransporten, da transport ved lavt vandindhold kan være en størrelsesorden hurtigere end ved højt vandindhold. Sorption, fx af TCE, kan derimod være flere størrelsesordner højere ved lavt vandindhold end ved højt vandindhold. Diffusion i gasfasen er, som nævnt i afsnit 2.4, op til ca. 4 størrelseordner hurtigere end diffusion i vandfase. Gaskonvektion kan derimod oftest negligeres, da gastrykgradienter oftest er minimale.


3. Prøvetagning af porevand

3.1 Generelle betragtninger
3.2 Prøvetagningsmetoder
3.2.1 Vakuumprøvetagerere Vakuumprøvetagerere Vakuumprøvetagerere
3.2.2
3.2.2
Gravitations-prøvetagere Gravitations-prøvetagere
3.2.3 Øvrige prøvetagningsmetoder

3.1 Generelle betragtninger

I forbindelse med udtagning af porevandprøver til kemiske analyser rejser der sig en række generelle problemer med at udtage "repræsentative" vandprøver, dvs. vandprøver der repræsenterer det vand, som transporteres ned gennem den umættede zone; det mobile vand.

Brug af en prøvetager vil forstyrre de naturlige forhold i jorden. Der må derfor vælges en prøvetager, som påvirker omgivelserne så lidt som muligt. Påvirkningerne ses i form af (Beier et al., 1987):

  • hydrauliske forandringer
  • ændring (kemisk) i porevandssammensætningen
  • ændring (over tiden) i de udtagne prøvers kemiske sammensætning

Hydrauliske forandringer
Forstyrrelser i jordens matrix kan ændre de kapillære forhold i jorden og dermed forstyrre vandbevægelserne (Holstener-Jørgensen, 1955). Specielt hvor man ønsker at vurdere porevandsfluxen, er dette et problem.

Ændring af porevandssammensætningen
Porevandssammensætningen kan formentlig variere betydeligt med infiltrationen som følge af opblanding, ny udvaskning, og transport som kan medføre sorption til nye partikler.

Planter kan optage såvel næringsstoffer som forureningskomponenter fra porevandet. Effekten af planternes eventuelle optag skal derfor tages i betragtning.

Ændring (over tiden) i udtagne prøvers kemiske sammensætning
Porevandsprøvetagerne kan i sig selv ændre den kemiske sammensætning i det opsamlede vand. Prøvetagere, eventuelle forbindelsesslanger og opsamlingsbeholdere findes i meget forskellige materialer som: keramik, teflon glas, nylon, plastic, aluminiumsoxid, forskellige metaller og beton (lysimetre). Disse materialer har forskellig kemisk karakteristik og kan ved adsorption eller desorption ændre den kemiske sammensætning af udtagne vandprøver. Eksempler er ionbytning fra plasticmaterialer og keramik, eller mineralisering og udvaskning fra keramiske materialer.

Udtagning af porevand involverer ofte en filtrering, som tilbageholder kolloider og de stoffer som adsorberer hertil.

Endelig er der risiko for kemiske reaktioner i og afdampning fra prøvetager og eventuelt lagermedie (prøveflaske/pande/lysimeter). Mange af de stoffer, som er relevante i forbindelse med nærværende studie, er generelt meget flygtige og let omsættelige, hvorved problemet med kemiske reaktioner og afdampning er særligt stort. I forbindelse med prøveudtagning af porevand med indhold af blandingsforureninger (fx benzin) vil fordampning ikke bare have betydning for mængden af forureningskomponenter i porevandsprøven, men også for prøvens kemiske sammensætning, idet de flygtige komponenter afdamper langt hurtigere end de lidt mindre flygtige komponenter.

Nødvendig vandmængde
Den valgte metode til udtagning af porevand skal kunne give en tilstrækkelig vandmængde. Hvor stor denne vandmængde er, afhænger af hvilke forureningskomponenter det drejer sig om, samt af lokale geologiske og hydrologiske forhold.

Ved analyse for indhold af benzin eller pesticider, bliver der i dag som standard benyttet 1,0 l væske. Detektionsgrænsen for total-kulbrinter (fx dieselolie) er ved standard-analyser omtrent det dobbelte af Miljøstyrelsens grundvandskvalitetskriterie, hvilket gør, at prøvemængden ikke kan mindskes, hvis resultaterne skal danne grundlag for en risikovurdering over for grundvandsressourcen. Ved analyse for indhold af BTEX-komponenter, pesticider eller metaller kan man normalt slække på kravene til detektionsgrænse og dermed til den nødvendige prøvestørrelse. Ved analyse for indhold af pesticider og metaller, vil man normalt kunne nøjes med en vandprøve på 0,5 l eller endnu mindre.

Flux/koncentration
I tilfælde hvor forureningskomponenterne adsorberes i en prøvetager, bestemmes den flux (kildestyrke), som passerer forbi prøvetageren (inkl.forureningsdampe), mens der ved udtagning af porevand bestemmes en forureningskoncentration.

Da det er forureningskoncentrationen, som benyttes til risikovurdering over for grundvandsressourcen i "Oprydning på forurenede lokaliteter, vejledning fra (Miljøstyrelsen, 1998a) må der ske en omregning, i tilfælde hvor det er fluxen, som er bestemt.

3.2 Prøvetagningsmetoder

I det følgende findes en beskrivelse af forskellige metoder til prøvetagning af porevand i umættet zone, samt deres fordele og ulemper.

Der beskrives metoder, som er anvendelige til udtagning af porevand under forurenede arealer. Desuden beskrives metoder, som, på grund af deres destruktive natur, næppe kan anvendes i forbindelse med eksisterende forureninger, men som muligvis giver mere sikre bestemmelser af forureningsindholdet, hvorfor disse metoder eventuelt kan benyttes til kalibrering af andre prøvetagningsmetoder i forbindelse med laboratorieforsøg eller i forbindelse med påtvungne forureninger i felten. Det drejer sig om nedgravning af lysimetre og/eller pander, hvor nedgravningen og de hermed følgende forstyrrelser formentlig vil betyde, at metoden vil give misvisende resultater, hvis den anvendes på allerede forurenede arealer.

Mens udtagning af porevandsprøver gennem en årrække har været anvendt til beregning af næringsstofbalancer inden for jordbrugsforskning, har metoden overraskende nok meget sjældent været anvendt i forbindelse med risikovurdering af forureninger.

Ved det gennemførte litteraturstudie er der med få undtagelser (metaller og enkelte pesticider) ikke fundet artikler som omhandler udtagning af porevand med indhold af miljøfremmede stoffer.

Den efterfølgende beskrivelse har derfor mere karakter af en metodegennemgang end af en sammenfatning af resultater med relevante stoffer. Der skelnes mellem prøveudtagning med vakuumprøvetagere (tension soil water samplers), gravitationsprøvetagere (zero-tension soil water samplers) og andre metoder (fx centrifugering eller udpresning under tryk). I vakuumprøvetageren pålægges et undertryk, hvorved porevæsken kan "suges" ind i prøvetageren. Ved gravitationssampling er det alene gravitationen, som styrer vandbevægelserne. En gravitationsprøvetager samler derfor kun væske, når der er mættede forhold i nogle af porerne (ofte i makroporer).

 

3.2.1 Vakuumprøvetagerere

3.2.1.1 Sugeceller

Ved prøvetagning med sugeceller opsamles vandet ved vakuumekstraktion i en porøs beholder, som placeres i jorden. I de simpleste opsamlingssystemer gemmes vandet i sugecellen, og suges eller blæses gennem en slange til en prøveflaske. Et simpelt opsamlingssystem er vist på fig. 2.

Der findes en række detaljerede beskrivelser af sugeceller og deres anvendelse (fx Everett, L.G., 1990; Wilson, N., 1995; Beier et al., 1987 og især ASTM, 1992).

 

Fig. 2. Et simpelt system, hvor det opsamlede porevand er ved at blive suget op i en prøveflaske (ASTM, 1992).

Vakuumsystemer
Tre forskellige systemer til at pålægge/opretholde vakuum i sugecellerne er rapporteret (Beier et al., 1987):

  • "Sudden tension" systemet
  • "Continous tension" systemet
  • "Variable tension" systemet

I et "sudden tension" system opretholdes ikke vakuum i sugecellerne mellem prøvetagning. Prøvetagning udføres ved at pålægge en stor trykgradient mellem jorden og sugecellen, indtil den ønskede vandmængde er opnået.

Fordelen ved systemet er, at det er billigt og let at håndtere. En ulempe er, at prøvetagningen ikke udføres kontinuert, hvilket betyder, at den kapillære kontakt brydes i tørre perioder, hvorefter det vil blive svært at opsamle vand. Specielt er metoden uhensigtsmæssig, hvis der anvendes keramiske sugeceller, idet disse kan nedbrydes og mineraliseres under de skiftende våde og tørre forhold, hvilket kan påvirke den kemiske sammensætning af de porevandsprøver, som opsamles (Beier et al, 1987).

Det simpleste "continous tension" system er det såkaldte "falling vakuum" system, hvor vakuum pålægges umiddelbart efter prøvetagning og sugecellerne efterlades med vakuum indtil næste prøvetagning (Riekerk og Morris, 1983; Hansen og Harris, 1975; Grant og Blicher-Mathiesen, 1990). Gennem sampling perioden aftager vakuum afhængigt af vandindtaget. Også denne metode er billig og let at håndtere.

En ulempe ved systemet er, at det aftagende vakuum medfører, at prøvetagningshastigheden aftager i opsamlingsperioden, således at det største vandvolumen opsamles i starten af perioden. Vakuum kan falde så meget, at der ikke opsamles vand over hele prøvetagningsperioden.

I andre mere avancerede systemer holdes vakuum konstant gennem prøvetagningsperioden. Dette kan gøres med "hanging drop systemet", hvor vakuum skabes af en vandstreng (Riekerk og Morris, 1983), eller lettere ved at en pumpe konstant regulerer vakuum til det ønskede niveau (Hansen og Harris, 1975). Ved anvendelse af en pumpe til regulering, kan vakuum ændres fra tid til anden, fx med højere vakuum i tørre perioder.

Sammenlignet med "sudden tension" systemet har "continous tension" systemet den fordel, at der i systemet hele tiden bliver kompenseret for små lækager, og at det ikke er nødvendigt med store tensionsforskelle.

I et "variable tension" system bliver vakuum kontinuert reguleret, således at vakuum i sugecellerne er lidt højere end jordens tension. Systemet arbejder med en konstant forskel mellem jordens tension og vakuum i sugecellerne. (Rasmussen et al., 1986; Linden, 1977). Jordens tension måles med et tensiometer (Webster, 1965).

"Variable tension" systemet giver en nogenlunde konstant vandopsamling over tiden uanset jordens tension. Yderligere vil den lille trykgradient mellem sugecelle og jord medføre minimal forstyrrelse af de hydrauliske egenskaber (Ploeg og Beese, 1977; Linden, 1977). En ulempe er, at systemet med en tensio-meterstyret vakuumpumpe er dyrt og kræver pasning. Tidligere skulle man endvidere selv tilpasse tensiometre og pumper m.v., men nu findes komplette systemer på markedet (Prenart equipment, 1995).

Systemopstilling
I litteraturen findes eksempler på en mængde forskellige systemopstillinger. I flere amerikanske beskrivelser skelnes mellem vakuum systemer, tryk-vakuum systemer og højtrykssystemer.

I et vakuum system fungerer selve sugecellen som opsamlingskammer. Når det opsamlede produkt skal indsamles pålægges sugecellen vakuum via en sugeslange, som er ført til cellens bund, og vandprøven suges op i en prøveflaske; se figur 2. Der er hermed tale om et såkaldt "sudden tension" system.

Vakuum systemet kan typisk anvendes til dybder omkring 6 m.

Tryk-vakuum systemet blev udviklet til opsamling af forureningskomponenter fra dybe umættede jordlag (Parizek og Lane, 1970). To slanger er ført ned i sugecellen. En slange, som er ført til bunden af sugecellen, benyttes til produktopsamling. En anden slange, ført til top af cellen, benyttes til at påføre sugecellen henholdsvis vakuum eller overtryk. Vakuum pålægges når porevandsopsamlingen indledes, og overtryk pålægges, når der skal ske produktopsamling. Se figur 3.

 

Figur 3. Eksempel på et tryk-vakuum system. Everett, L. G., 1990.

Med tryk-vakuum systemet kan der opsamles porevand fra større dybder. Metoden har imidlertid den ulempe, at der presses vand ud gennem sugecellen under produktopsamlingen, hvor sugecellen sættes under tryk. Ved dybder over 15 m vil man miste en betydelig produktmængde på denne måde. Hertil kommer, at i omtrent samme dybde kan overtrykket, som er nødvendigt for at bringe det indsamlede produkt til jordoverfladen, være stort nok til at beskadige sugecellen (specielt hvis der benyttes keramiske celler) eller forstyrre den hydrauliske kontakt med jorden (ASTM, 1992).

Hvis sugecellens porøse del er hævet, således at den ikke sidder i bunden af cellen, mindskes problemet med, at der presses vand ud gennem cellen, når der pålægges overtryk (Morrison og Tsai, 1981), men der vil stadig være risiko for beskadigelse af cellen. Se figur 4.

 

Figur 4. Modificeret tryk-vacuum sugecelle. Morrison og Tsai, 1981.

Der findes beskrivelser af design, som stort set forhindrer, at porevand kan presses ud gennem sugecellen. Enten fordi den porøse kop sidder i samplerens top (Knighton og Streblow, 1981), eller fordi porevandet suges ind i en del af prøvetageren, som ikke har direkte kontakt med den porøse kop (Nightingale et al., 1985). Se figur 5. I begge disse tilfælde er der dog stadig risiko for beskadigelse af den keramiske kop ved store overtryk.

   
a) b)

Fig. 5. Modificerede tryk-vakuum sugeceller, hvor kun ubetydelige vandmængder kan presses ud ved overtryk.

  1. Knighton og Streblow, 1981.
  2. Nightingale et al., 1985.

 

Hvor der udføres undersøgelser af porevandets indhold af flygtige komponenter, fx flygtige organiske forbindelser som benzin eller chlorerede opløsningsmidler, kan afdampning mindskes ved at benytte (ren) nitrogen til at presse vandet fra prøvetageren ud i prøvetagningsflasken (Wilson, 1995; Ransom og Smeck, 1986; Anderson, L.D., 1986).

Højtryk systemet er en modifikation af tryk-vakuum systemet. Der er tale om et tokammer system. Et kammer med den porøse sugekop, samt et vandopsamlingskammer. Trykventiler er monteret mellem de to kamre og i toppen af opsamlingskammeret; se fig. 6. Ved vakuum er der åbent mellem sugecelle og opsamlingskammer, og lukket i top af opsamlingskammeret. Når der påføres overtryk, lukker ventilen mellem sugecelle og opsamlingsbeholder, og ventilen i toppen af opsamlingsbeholderen åbner. Herved presses det opsamlede porevand ud, uden at der er risiko for beskadigelse af den porøse kop eller forstyrrelse af de hydrauliske forhold uden for sugecellen.

 

Fig. 6. Højtryk-vacuum sugecelle (Nightingale et al., 1985).

Sugecellers virkningsgrad
Sugeceller findes i en række forskellige materialer og i en mængde udformninger (fx cylindriske, kegleformede eller flade). Afhængigt af materiale og det valgte design (Morrison and Lowery, 1990) har sugecellerne karakteristika, som vil indvirke på prøvekvalitet og prøvevolumen.

Sugecellens hydrauliske resistens har indflydelse på væskeoptagelsen (Cochran et al., 1970). Hvis sugecellens hydrauliske resistens er høj, må det pålagte vakuum også være højt, for at der kan opsamles væske. Resistensen afhænger af materialets porestørrelse, materialets hydrofobe karakter og af kontakten mellem sugecellen og den omgivende jord.

…..porestørrelse
A t en sugecelle har lille porestørrelse, vil betyde forøget filtrering og screening samt forøget sandsynlighed for tilstopning/klokning (Talsma et al., 1979; Morrison og Tsai, 1981), især i den første tid efter installation af sugecellerne.

Hvis der vælges en lille porestørrelse, vil det væsentligt påvirke indstrømningen af store organiske molekyler og substanser, som er associeret hertil. Endvidere aftager prøvetagningshastighed og porevolumen, hvilket forøger retentionen i sugecellen, dette gælder fx for phosphater (Beier et al., 1987) –se fig. 7.

 

Fig. 7. Effekt af forskelle i konstant vakuum-niveau og prøveopsamlingstid på phosphat-koncentrationer i porevæskeprøver opsamlet i store keramiske sugecelle (Hansen og Harris, 1975).

I andre undersøgelser, hvor sugecellerne er pålagt konstant vakuum, er der fundet signifikante korrelationer mellem ekstraktionstiden og koncentrationerne af K, Ca og P; se fig. 8. Dette kan skyldes, at når ekstraktionstiden vokser, repræsenterer den opsamlede væske ikke kun den porevæske, som er let bundet til jordmatrix (lille tension), men også hårdere bundet porevæske med tension svarende til det vakuum som er pålagt sugecellen (Severson and Grigal, 1976).

…..kapillær kontakt
D en kapillære kontakt mellem sugecellens porer og porerne i den omgivende jord har stor betydning for den hydrauliske ledningsevne (resistensen) og dermed også for porevandsprøverne. At sikre god kapillær kontakt er et af de største problemer i forbindelse med installation af sugeceller.

Kontaktproblemerne kan mindskes ved at tilbagefylde omkring sugecellerne med jord fra den pågældende dybde, eventuelt med en opslemning af sigtet jord (Beier et al., 1987). Bedre kontakt skabes ved pakning med kvartsmel (Grant og Blicher-Mathiesen, 1990) eller silikatmel (Misser, P.; 1999).

Hvor sugecellerne er placeret således, at de om sommeren kan "tørre ud", kan det være vanskeligt at få genskabt den hydrauliske kontakt mellem sugecelle og den omgivende jord, bl.a. fordi det først afstrømmende vand siver ned gennem revner og større porer. Ofte kan der først indsamles prøver af porevæsken måneder efter begyndende opfugtning af jorden (Grant og Blicher-Mathiesen, 1990).

 

Fig. 8. Relationer mellem ekstraktionstid og koncentration af enkeltstoffer i

porevæske udtaget fra keramiske sugeceller placeret i to forskellige dybder; henholdsvis 2 cm og 9 cm. Antal prøver (n) er total fra tre søjler med sand. Signifikans af korrelationskoefficienten (r) er indikeret som enten 95%-nivau (*) eller 99%-niveau (**) (Severson og Grigal, 1976).

…..hydrofobi
Teflons hydrofobe (vandskyende) egenskaber medfører stor hydraulisk resistens i teflon-sugeceller. Alligevel benyttes ofte sugeceller af teflon (PTFE) eller af et sammenkittet materiale af teflon og kvarts (Prenart equipment, 1995). Teflon cellerne kan behandles kemisk med henblik på at mindske materialets hydrofobe egenskaber (Rasmussen et al., 1986). På grund af de hydrofobe egenskaber kræver teflon sugeceller et højere vakuum end andre typer sugeceller.

…..hydrauliske ændringer i jorden
Installation af en sugecelle kan udføres med minimale forstyrrelser af jordens matrix og dermed af jordens hydrauliske egenskaber.

Når vakuum pålægges sugecellen kan der imidlertid ske forandringer i vandstrømningen i den umættede zone. Der er således ingen brugbar sammenhæng mellem den mængde vand, som opsamles i sugecellen, og den mængde vand som frit perkolerer ned gennem den umættede zone. Det er derfor ikke muligt at beregne den perkolerende vandflux ud fra de opsamlede vandmængder i sugecellerne.

…..kemisk sammensætningaf sugecellen
I forbindelse med vurdering af sugecellens virkningsgrad er cellens kemiske sammensætning en vigtig faktor. Materialets betydning for sugecellens virkning er beskrevet nøjere i Beier et al., 1987 og i ASTM, 1992. I tabel 3.1 findes en sammenstilling af fordele og ulemper ved forskellige materialevalg. I tabel 3.2 er der sammenstillet en liste over nogle materialers påvirkning af porevæsken. Påvirkningerne er meget diskuterede, og der findes mange modstridende data; sammenfatninger er foretaget af bl.a. Beier og Hansen, 1992 og Litaor, 1988.

Keramiske celler har i nogle tilfælde vist sorption af en del metaller (Cd, Cr, Cu, Fe, Ng, Mn) samt af K, Na, NH4, P og PO4. Desorption (fx i forbindelse med nedbrydning af sugecellen) er i visse tilfælde set for metallerne Al, Ca, Cr, Cn, Mg, Na, Sr og Zn samt for CO3, HCO3, K og SiO2. Endvidere er der rapporteret eksempler på, at keramiske sugeceller har screenet store organiske molekyler. Specielt rapporteres ofte om P-adsorption eller desorption. P-adsorption har positiv relation til lav samplinghastighed (Hansen og Harris, 1975) og til kontakttiden mellem porevæsken og sugecellen (Nagpal, 1982). Hetsch et al. (1979) konkluderede af keramiske sugeceller ikke er egnede til udtagning af porevæske til analyse for P-indhold.

Material Type Special properties Disadvantages
Ceramic P80
Czeratski
Alundum
Soil-moisture
Cheap
Widely used/ wellknown
Some are not
recommendable
Retains P
May weather /release ions
Not frost resistant
Relatively fragile
High ionexchange capacity
Teflon Morrison
Prenart
Chemical inert
Easy to install
Robust
Frost resistant
Expensive
Glass Fritted
Sintered
Cheap
Not recommendable
Fragile
Adsorption /desorption
Do not sample under dry
conditions
Nylon Filter Low ionexchange -capacity Relatively fragile
May release N-compounds
Expensive
Do not sample under dry
conditions
Polyvinyliden -flourid Filter Low ionexchange -capacity Relativeny fragile
Expensive
Do not sample under dry
conditions
Plastic Filter
Porous
Supralene
No adsorption /desorption Some retains Al
Do not sample under dry
Conditions
Some materials eaten by animals

Tabel 3.1. Sammenligning af forskellige materialer benyttet til konstruktion af sugeceller (Beier et al., 1987).

Tabel 3.2. Se her Porøse materialers (sugecellers) interaktion med komponenter i porevæskenA,B; delvis efter ASTM, 1992.

AAbbreviations:

A = porous alundum,

C = Porous ceramic,

CAF = cellulose-acetate fibers,

FG = fritted or sintered glass or glass fibers,

PE = Polyethylen (nylon),

PTFE = porous PTFE,

SF = Silica flour.

BComparisons of materials based on this table should be made cauiously. Differing experimental techniques should be considered as a source of differing conclusions.Undocumented factors often include material age and sampling history.

CReference /110/ found that there is no significant interaction of cellulose-acetate fibers with potassium in solution. The porous section was washed prior to testing and results were found to be a function of several factors.

DReference /33/ found that there were no significant interaction of porous ceramic with nitrate plus nitrite nitrogen in solution. The results are a function of several factors /xx/ is reference xx from list of references in this report.

Nedbrydning og desorption er et velkendt problem for keramiske sugeceller. Problemet er væsentligst i sure jorder og i tilfælde hvor vakuum kun pålægges periodisk. Ved brug af kontinuert vakuum bliver nedbrydning af sugecellen reduceret (Beier et al., 1987).

Teflon (PTFE) har den fordel, at materialet er kemisk inert, forholdsvis resistant og temmelig brudsikkert. Der er dog rapporteret tilfælde af sorption eller screening af store organiske molekyler som phenoler, chlorerede hydrocarboner, naphthalen og acenaphthalen (Jones and Miller, 1988).

I Danmark benyttes ofte sugeceller konstrueret af sintret PTFE og kvarts. Dette materiale forventes at have samme egenskaber som PTFE.

Glas (støbt eller sintret) har i nogle tilfælde hverken vist adsorption eller desorption (Bottcher et al., 1984). Ofte anses glas imidlertid for at være et uanvendeligt materiale til porevæskeprøvetagere, dels på grund af mulig udvaskning af Na (Silkworth and Grigal, 1981; Morrison, 1982) dels på grund af materialets skrøbelighed (Morrison, 1982).

På grund af den relativt store porestørrelse, som findes i mange glasceller, kan der kun pålægges et vakuum på omkring 0,3 bar, hvilket medfører, at prøvetageren ikke kan arbejde i tørre perioder (Starr, 1985).

Ni-sintermetal har vist sig at desorbere og adsorbere en mængde forskellige ioner, og materialet kan derfor ikke anbefales til porevæskeprøvetagere, (Hetsch, 1979; Hadrich et al., 1977).

Sintret aluminium-oxid (alundum) har vist sig at adsorbere Pb, Ni, Zn og Cd (Grossmann et al., 1985), men at desorbere Al, Ca, Na og K (Neary og Tomassini, 1985) samt Cr, Fe og Mn (Creasey, 1986).

Celluloseacetat-fiber prøvetagere absorberer Ca, Mg og Na (Silkworth and Grigal, 1981).

Nylon (benyttet til filtre og slanger) synes at være et godt materiale; nogle typer af nylon kan dog frigive N-komplekser (Bennetzen, 1978).

Nylon og polyvinylidenfluorid (PVDF) har lav elektronexchange-kapacitet hvilket giver fordele ved prøvetagning af metaller som bly og kobber (Grossmann et al., 1985).

Silikatmel, som benyttes til "pakning" omkring sugeceller, har vist sig inaktivt over for Ca, Cl og H. Silikatmel forventes at være inert over for næsten alle stoffer.

Rækkevidde/virkningsradius
Med lavtryksprøvetagere (omkring 10 cbar eller mindre) udtages hovedsageligt porevæske fra makroporer (Morrison, 1983). Prøver, som bliver udtaget under større vakuum (større end omkring 10 cbar), indeholder også væske fra jordens mikroporer.

Jordteksturen og pore-væske tensionen er bestemmende for den mængde væske, som opsamles i sugecellen, samt for sugecellens virkningsradius.

Standard sugeceller har så ringe størrelse, at de oftest ikke "berører" makroporerne (Barbee and Brown, 1986a). Anvendes meget lange sugeceller, eller placeres flere sugeceller på samme "streng", kan det være en fordel at placere cellerne skråtstillet, idet dette forøger sandsynligheden for at "ramme" tektoniske sprækker (makroporer). Alternativt kan sugecellen pakkes i kvartsmel i boringer med stor diameter.

På figur 10 er der angivet kurver for frigivelse af porevæske (retentionskurver) for forskellige jordtyper. Ved lav tension er hældningen af retentionskurvens for sand større end hældningen af retentionskurven for ler. Dette indikerer, at det ved lav tension gælder, at der ved lige store tensionsændringer vil blive frigivet mere porevæske fra sand end fra ler.

Ved større tension er hældningen af retentionskurven for ler større end tilsvarende hældning for sand. Dette indikerer, at det ved større tension gælder, at der ved lige store tensionsændringer frigives mere væske fra ler end fra sand. En konsekvens heraf er, at sugeceller ved store tensionsforskelle ikke kan opsamle porevæske i grovkornede jorde.

Påvirkning af det normale flow i jorden kan påvises adskillige meter fra sugecellerne (Bouma et. Al, 1979; Warrick and Amoozegar-Fard, 1977 samt Van der Ploeg and Beese, 1977).

Morrison & Szecsody (1981) har, med ensartede sugeceller og fastholdte parametre, fundet virkningsradier fra 10 cm i grovkornet jord til 92 cm i finkornet jord. Hart & Lowery (1997) angiver sugecellers axial-radiale påvirkning i sandet jord til under 30 mm. Morrison et al. (1989) og Morrison and Lowery (1990b) angiver, at den betydende påvirkning af det normale flow sker mindre end 10 cm fra sugecellen.

 

Figur 10. Kurver som angiver frigivelse af porevæske (retentionskurver) for forskellige jordtyper. Endvidere er der angivet operationsområder for sugeceller (ASTM, 1992).

Erfaringer
Næringsstoffer og metaller:

Sugeceller har gennem en årrække været benyttet til vurdering af næringsstofbalance og transport af metaller gennem umættet zone.

Men selv for disse stoffer er der betydelige metodeproblemer. Forskellige undersøgelser giver vidt forskellige vurderinger af stoffernes mobilitet og i de enkelte undersøgelser findes, som hovedregel, stor rumlig og tidsmæssig variation i stofkoncentrationerne i de enkelte sugeceller.

Det store erfaringsgrundlag fra anvendelse af sugeceller til vurdering af næringsstofbalance og metaltransport gør dog, at det i mange tilfælde vil være muligt at finde et relevant erfaringsgrundlag i litteraturen. I en artikel om nitratudvaskning er det fx beregnet, hvor mange sugeceller der i det aktuelle tilfælde skal benyttes for at beregne infiltrationen til grundvandet (Djurhuus & Jacobsen, 1995).

Pesticider:
VKI (1998) har testet prøvetagning med en PTFE-sugecelle af 6 pesticider med meget forskellige fysiske/kemiske egenskaber. De 6 pesticider er: dicamba, MCPA, hexazinon, atrazin, bentazon og pendimethalin. Forsøgene viser, at der ikke er nogen problemer ved at prøvetage med den anvendte PTFE-sugecelle for dicamba, MCPA, hexazinon, atrazin og bentazon, og formentlig kan sugecellen anvendes med stor nøjagtighed for pesticider med relativt stor vandopløselighed. Derimod kunne der ikke prøvetages med rimelig nøjagtighed over for pendimethalin, idet en meget stor del af stoffet blev tilbageholdt.

PTFE-sugecellen kan formentlig ikke anvendes med rimelig nøjagtighed for pesticider med relativt lille vandopløselighed.

Perrin-Ganier et al. (1993) har udført laboratorieforsøg med prøvetagning i keramiske sugeceller af tre herbicider (atrazin, isoproturon og 2,4-D) samt et insecticid (carbofuran). Undersøgelserne viste, at der opstod sorption og screening, indledningsvist blev op til 80% af pesticiderne tilbageholdt, men at disse problemer var relateret til begyndelsen af prøvetagningsperioden. Efter opnåelse af ligevægt (efter sampling af 20-50 ml) var de keramiske sugeceller brugbare til sampling af pesticiderne.

Efterfølgende feltforsøg med isoproturon viste imidlertid store koncentrationsforskelle mellem væske opsamlet i henholdsvis keramiske sugeceller og i dræn; Perrin-Ganier et al., 1996. I drænene måltes fx meget store koncentrationstoppe (en størrelsesorden over koncentrationen i sugecellerne) sommer og vinter.

Andre stoffer:
For de fleste af de stoffer for hvilke Miljøstyrelsen har fastlagt grundvandskvalitetskriterier (Miljøstyrelsen, 1998a) gælder, at man har ingen eller så godt som ingen erfaring med prøvetagning af porevand ved hjælp af suge-celler.

Der er dog rapporteret undersøgelser (Jones & Miller, 1988 samt Barcelona et al., 1988) som viser, at PTFE-sugeceller sorberer 4-nitrophenol, chlorinerede hydrocarboner, naphthalen og acenaphthalen.

Endvidere er der rapporteret en enkelt undersøgelse af xylenspredning i umættet zone ud fra prøvetagning med henholdsvis keramiske sugeceller og glasblok-lysimetre (se afsnit 3.2.1.1); Barbee & Brown, 1986b. Xylen-spildet blev simuleret på jordoverfladen efter installation af prøvetagerne.

Ved undersøgelsen blev der fundet langt større xylen-koncentrationer i prøver fra glasblok-lysimetre end i prøver fra sugeceller. I sandjord var forskellene i koncentrationer 2-4 størrelsesordener; i lerjord endnu større. Forskellene skyldes formentlig, at sugecellerne kun opsamler en meget begrænset væskemængde fra makroporerne, som, i hvert fald i lerjorde, bidrager med den største del af xylentransporten. Endvidere viser undersøgelserne, at fordampningen af xylen fra sugecellerne er væsentlig. Fra en 35 ml prøve, som er udsat for 0,05 mPa vakuum i 15 minutter, fordamper 0-41 % xylen, alt efter initialkoncentrationen. Der er størst relativt fordampningstab ved store xylenkoncentrationer.

Barbee & Brown konkluderede, at sugeceller, i hvert fald i lerjord, er ineffektive til bestemmelse af xylenindholdet i jordens porevæske.

Fordele og ulemper
Sugeceller er blevet udviklet gennem mange år, hvilket efterhånden har givet stabilt udstyr og standardmetoder, og anvendelsen er udbredt, især i forbindelse med vurdering af næringsstofbalancer. For næringsstoffer og en del metaller er der lavet mange sammenligninger mellem porevæske som opsamles i sugeceller, og porevæske som opsamles på andre måder. Det har oftest givet fornuftige resultater at anvende sugeceller.

Et problem ved sugecellerne er, at de har en lille kontaktflade med jorden, hvorfor lokale variationer kan give nogen koncentrationsforskelle. Dette kan betinge, at der anvendes flere sugeceller sammen. At benytte flere sugeceller sammen kan også afhjælpe problemet med, at en enkelt sugecelle leverer for lidt vand til analyse for indhold af organiske stoffer.

Der er næsten ingen erfaringer med anvendelse af sugeceller i forbindelse med organiske forbindelser. Der er derfor behov for at udføre forsøg med materialer, porestørrelser og vakuumsystemer inden sugeceller kan implementeres til prøvetagning af organiske stoffer.

Flygtige stoffer vil formentligt fordampe for kraftigt fra sugecellen til, at man kan få brugbare resultater. Det er muligt, at sugeceller kan monteres med en form for absorber, som opsamler dampene, men der er intet publiceret herom.

Stoffer som sorberer kraftigt til jorden, og som har lille opløselighed i vand, som fx PAH’erne, er muligvis problematiske. Der er ikke publiceret forsøg, heller ikke med negativt resultat. Mange metaller, som også bindes kraftigt til jord, og som ikke kan opløses, er opsamlet med held i sugeceller.

Derimod burde mange dieselstoffer, samt stoffer der sorberer meget lidt til jord, og har høj opløselighed, som fx MTBE og phenoler, kunne opsamles med sugeceller, ligesom en række pesticider med sikkerhed kan opsamles med sugeceller.

Omkostningerne ved prøvetagning i et enkelt punkt vil formentlig være af samme størrelse eller lidt mindre end fx udtagning af en intakt jordprøve med efterfølgende ekstraktion eller centrifugering. Da prøvetagning kan gentages i samme sugecelle, vil langtidsmonitering blive billiggjort.

3.2.1.2 Filtertip prøvetageren

Opbygning
Filtertip samleren er en variant af sugecellen. Samleren består af to komponenter: en permanent installeret filter tip og en udskiftelig glasampul til opsamling af porevandet. I glasampullen er der vakuum, som forbindes med filtertippen ved at presse ampullen ned over en dobbeltsidet kanyle; se figur 11.

Filtertip prøvetageren findes i flere tilfælde medtaget i litteratur, som beskriver prøvetagningsmetoder i umættet zone (Wilson, 1995 og ASTM, 1992). Filter-tip prøvetageren er imidlertid udviklet til prøvetagning i mættet zone, og vi har ikke kendskab til, heller ikke fra litteraturen, at metoden er benyttet til prøvetagning i umættet zone.

I mættet zone har filtertip prøvetageren den fordel, at den er let at installere, idet den bankes ned sammen med et beskyttelsesrør. Anvendelse af denne metode må forventes at give betydelige vanskeligheder i umættet zone, idet det vil være meget vanskeligt at skabe og opretholde hydraulisk kontakt mellem den porøse kop og den omgivende jord.

Anvendelse
Ved montage af filtertip prøvetageren i en boring, kan der pakkes kvartsmel eller sigtet jord omkring den porøse kop, hvorved den hydrauliske kontakt sikres lige så godt som ved anvendelse af almindelige sugeceller. Men i en boring kan man lige så godt installere en almindelig sugecelle, som må forventes at være mere driftsikker end en filtertip prøvetager.

 

Fig. 11. Filtertip prøvetager (ASTM, 1992).

Fordele og ulemper
En ulempe ved filtertip prøvetageren har tidligere været den begrænsede vandmængde, som kunne udtages (glasampuller op til 200 ml), men i systemer som er tilgængelige på markedet findes nu glasampuller på op til 500 ml (Hallberg, 1999).

En fordel ved filtertip prøvetageren er, at der ikke indgår forbindelsesslanger eller vakuumslanger, som kan forurene porevandsprøven, eller hvortil der kan absorberes forureningskomponenter.

Herudover må det forventes, at filtertip-samleren kan benyttes til samme anvendelse som sugeceller.

3.2.1.3 Prøvetagning med hulfibre (væger)

Metodebeskrivelse
Cellulose-acetat hulfiber prøvetagere (væger) er beskrevet af Jackson et al. (1976) og Wilson (1981).

Prøvetageren består af et bundt hulfibre (max. Porestørrelse < 2,8 m m) knebet sammen i den ene ende og fastgjort til en sugeslange i den anden ende; se figur 12. Sugeslangen føres til en prøveflaske på eller nær jordoverfladen og forbindes til et vakuumsystem som ved en sugecelle.

Fibrene, som er analoge med den porøse del af sugecellerne, har en udvendig diameter på op til 250 m m (Jackson et al., 1976).

Da fibrene er for tynde og skrøbelige til at blive skubbet/presset på plads i jorden må de placeres i et borehul (ASTM, 1992).

I litteraturen findes også beskrivelse af hulfibre med et tæt indre lag omgivet af et åbencellet "svampet" lag med en diameter på 50-250 m m; Levin & Jackson, 1977.

Erfaring
Der findes kun få eksempler på anvendelse af hulfiber-prøvetagere, og kun i forbindelse med prøvetagning af Ca, Mg, PO4-P og NO3-N (hvor anvendelsen er diskutabel).

 

Fig. 12. Cellulose-acetat hulfiber prøvetager (ASTM, 1992).

Hulfiber-prøvetagere er udelukkende blevet anvendt i forbindelse med laboratorieforsøg; Levin and Jackson, 1977. Ved et søjleforsøg med konstant vakuum på 81 cbar var det med hulfiber-prøvetagere muligt at udtage porevæskeprøver fra ler med et vandindhold på 20-50 %.

Et forsøg med sammenligning af sugeceller og hulfiber-prøvetagere har vist, at prøvetagning med hulfiber-prøvetagere oftere slår fejl end sampling med sugeceller (Silkworth and Grigal, 1981).

Fordele og ulemper
Anvendelse af hulfibre må siges at være på eksperimentelt niveau, i hvert fald i Danmark, og der er næsten ingen erfaring med hulfibrene.

Hulfiber-samling synes ikke umiddelbart at have nogen fordele frem for anvendelse af sugeceller.

3.2.1.4 Membran-filtrering

 

Fig. 13. Membran-filter prøvetager (Stevenson, 1978).

Forskellige udformninger af membran-filter prøvetagere er beskrevet i litteraturen: Stevenson (1978), Everett et al. (1982), Morrison (1983) og U.S. EPA (1986). Samleren består af et membran-filter af polycarbonat, cellulose-acetat (max. porestørrelse < 2,8 m m) Cellulose-nitrat eller PTFE (max. porestørrelse 2-5m m) monteret i en "swinnex" filterholder; Steveson (1978), Wagemann & Graham (1974) og Cole-Parmer (1988). Filtret hviler på et forfilter af glasfiber, som igen hviler på en "væge" af glasfiber, der holdes ned imod en kollektor (fx en plade eller "pande" af glasfiber). Se figur 13.

Sugeslangen føres til en prøveflaske på eller nær jordoverfladen og forbindes med et vakuumsystem ligesom ved anvendelse af sugeceller.

Porevæske føres af kapillære kræfter ind på kollektoren. Via det pålagte vakuum føres væsken gennem forfiltret og herefter gennem membranfiltret. Forfiltret modvirker, at fine partikler tilklogger membranfiltret; Everett et al., 1984.

Forskellige konstant-vakuum metoder, som kan anvendes til prøvetagning med kollektorplader, er beskrevet af Morrison, 1983. Jo større kollektorplader, jo større er kontaktfladen med jorden og jo større væskevolumen kan der opsamles pr. tidsenhed. Et givet væskevolumen kan derfor opsamles på kortere tid via kollektorplader end via almindelige sugeceller, hvis overfladeareal er meget mindre end kollektorpladernes.

Fordele og ulemper
Membran-filtre har den fordel frem for sugeceller, at de har en større kontaktflade til jorden. Dermed vil der på en given tid kunne opsamles mere porevæske med et membran-filter end med en sugecelle.

En stor ulempe ved membran-filtrene er imidlertid, at der skal nedgraves en kollektor. På grund af de store forstyrrelser af jorden, som installationen medfører, vil membran-filtre være vanskelige at benytte i forbindelse med forureningsundersøgelser.

Det formodes endvidere, at være forholdsmæssigt dyrt at installere membran-filtrene.

3.2.1.5 Vakuum-plade prøvetagere

 

Fig. 14. Vakuum-plade prøvetager (ASTM, 1992).

Metodebeskrivelse
Vakuum-plade prøvetageren består af en flad porøs vakuumplade/skive med en vandtæt bagside, fx af fiberglas, glas eller PVC. Vakuumpladen er via en sugeledning forbundet med vakuumsystem og prøveflaske; se figur 14.

Vakuumskiver leveres, fra amerikanske forhandlere, som standardvare med diameter på 4,3 til 25,4 cm; Soilmoisture Equipment, 1988. Vakuumplader findes i materialerne aluminiumoxid (Cole, 1958), porøst rustfrit stål (Mott Metallurgical Corp., 1988), keramik (max. porestørrelse 1,2-3,0 m m) eller glas; Corning Glass Works, 1988; Tanner et al., 1954; Cole et al., 1968; Nielson and Phillips, 1958 og Chow, 1977).

Erfaringer
I litteraturen er der kun beskrevet meget begrænsede erfaringer med vakuum-plade prøvetagere. Men da vakuum-plade prøvetagerne fås stort set i samme materialer og med samme egenskaber som sugeceller, må de formodes at udøve samme påvirkning på porevandet som tilsvarende sugeceller.

Fordele og ulemper
Vakuum-plade prøvetageren har den fordel, at den har en meget større kontaktflade mod jorden end sugeceller. Til gengæld er der meget store problemer forbundet med installationen; se figur 14. Vakuum-plade prøvetageren er formentlig kun praktisk anvendelig til et par meters dybde, og på grund af de store forstyrrelser af jorden, som installationen medfører, er den vanskelig at benytte i forbindelse med forureningsundersøgelser.

En ulempe er, at det formentlig være relativt dyrt at installere vakuum-plade prøvetagere.

3.2.2 Gravitations-prøvetagere

Når jordens vandindhold overstiger markkapacitet, bevæger porevæsken sig, under påvirkning af gravitationen, ned gennem jorden; fortrinsvis gennem makroporerne. Gravitationsprøvetagerne (på engelsk "free drainage samplers") "fanger" den nedsivende porevæske i opsamlingskamre placeret i jorden.

Porevæsken fjernes fra opsamlingskammeret ved at væsken pumpes op, trykkes op (fx med nitrogen), "suges" op med vakuum eller ved at opsamlingskammeret tages op og tømmes.

3.2.2.1 Lysimetre

Betegnelsen lysimeter benyttes ret forskelligt i litteraturen.

I USA benyttes betegnelsen "lysimeter" om næsten alle typer gravitationsprøvetagere samt om sugeceller ("suction-lysimeters" eller "vacuum-lysimeters").

I Danmark dækkede betegnelsen lysimeter oprindelig over evapotranspirometer-anlæg, dvs. anlæg som kan benyttes til måling af fordampningen fra jordoverfladen og plantedækket. Det drejer sig normalt om kar, som er opfyldt

 

Fig. 15. Skitse af minilysimetre anvendt under NPo-forskningsprogrammet i

A: St. Lyngby
B: Fladerne (Hansen, 1991).

med jord, der svarer til jorden i omgivelserne, og som har samme bevoksning som omgivelserne – oftest græsbevoksning. Via drænlag i bunden af lysimetret kan der tilledes og afledes væske, som kan afmåles nøjagtigt.

Gennem årene er der i Danmark sket en ændring i betydningen af ordet lysimeter. Efterhånden dækker betegnelsen lysimeter ikke blot evapotranpirometer-anlæg, men alle typer af kar som opsamler grundvand ved gravitation; fx trug (fig. 15B og fig. 16), pander (fig. 17) og glasblok-lysimetre (fig. 18).

Ved anvendelse af gravitationsprøvetagere kan man pålægge opsamlings-fladen/-karret et svagt vakuum for at bryde overfladespændingerne mellem jord og prøvetager. I disse tilfælde kan det være vanskeligt at skelne mellem gravitationsprøvetagere og vakuumprøvetagere.

Som ved alle andre prøvetagere er materialevalget vigtigt, da det kan påvirke de opsamlede porevæskeprøver. Eksempelvis kan der ske afsmitning af kobber og zink fra pande-lysimetre; specielt hvor porevæskens pH-værdi er mindre end 7.

Erfaringer
I en undersøgelse har man med anvendelse af en bromidtracer forsøgt at vurdere opsamlingseffektiviteten af pande-lysimetre; defineret som den del af det nedsivende vand (vand som drænes ud af rodzonen) der fanges i pande-lysimetret (Jemison and Fox, 1992). I forsøgene blev omkring 50% af det nedsivende vand fanget i pande-lysimetret.

 

Fig. 16. Trug-lysimeter (ASTM, 1992).

Som hovedregel har lysimetre relativt stor kontaktflade til jorden, og repræsenterer derfor bedre jordens gennemsnitsforhold end sugecellernes meget begrænsede kontaktflade med jorden. Prøvetagning med lysimetre kan derfor give mere repræsentative porevæskeprøver end prøvetagning med vakuumprøvetagere (Barbee and Brown, 1986a; ASTM, 1992), og makroporestrømningen, som ofte udgør den volumenmæssigt største del af strømningen, bliver bedre repræsenteret.

Da gravitationsprøvetagerne ikke er pålagt konstant vakuum, men dog kan være pålagt vakuum under tømning, er der endvidere mindre potentiale for tab af flygtige komponenter, end hvis der anvendes vakuumprøvetagere. Dette er fx resultatet af en undersøgelse af prøvetagning af xylen (Barbee and Brown, 1986b).

Fordele og ulemper
En fordel ved lysimetre (gravitationsprøvetagere generelt) er, at disse ikke forstyrrer væskestrømningen i jorden nær så meget som sugeceller.

En ulempe er, at lysimetrene skal nedgraves, og at jorden lige over eller omkring lysimetre derfor bliver stærkt forstyrret. Dette mindsker værdien af lysimetre til brug i forbindelse med vurdering af eksisterende forureninger.

En yderligere ulempe er, at gravitationsprøvetagere ikke kan opsamle porevæske, som holdes med tension større end markkapacitet.

Lysimetret er til gengæld uovertruffet til vurdering af nedsivning som sker over et allerede etableret lysimeter. I forbindelse med nedsivningsforsøg giver lysimetret således de bedste "referenceværdier" for nedsivningen.

 

Fig. 17. Pande-lysimeter (Everett, 1990).

 

Fig. 18. Glasblok-lysimeter (ASTM,1992).

 

Fig. 19. Væge-porevæskeprøvetager (Hornby et al., 1986).

3.2.2.2 Væge-prøvetagere

Hornby et al. (1986), Holder et al., (1991) og Boll et al. (1992) beskriver en væge-prøvetager, som hævdes at kombinere egenskaberne fra såvel gravitationsprøvetagere som sugeceller. Prøvetageren opsamler porevæske som transporteres ved gravitation samt porevæske som fastholdes ved tension på op til 4 cbar. En hængende fibrøs søjle fungerer som væge, der udøver et svagt vakuum over en geotekstil, som er lagt ud i et pande-lysimeter; se figur 19.

Enden af den fibrøse søjle er forseglet i en cylinderformet væskebeholder, som også indeholder vakuumslange og aftapningsslange.

Materialevalget må afhænge af porevæskens forventede kemiske sammensætning. Forsøg har vist, at fiberglasvæger ofte vil være anvendelige, idet de ikke adsorberer de undersøgte uorganiske ioner (Br, Cd og NO3) eller organiske stoffer (toluen, trichlorethylen, ethylbenzen og naphthalen). En nøjere beskrivelse af væger og teknik er givet af Boll et al., 1992.

Fordele og ulemper
Metoden er ikke gennemprøvet, hvorfor virkningsgraden er svær at vurdere.

På grund af de store forstyrrelser af jorden, som installation af væge-prøvetageren medfører, vil metoden næppe kunne anvendes i forbindelse med vurdering af spredning fra en eksisterende forurening.

3.2.2.3 Andre passive prøvetagere

Udover prøvetagere udformet som kar eller plader (lysimetre) findes også andre udformninger af passive prøvetagere.

Et eksempel er vertikaltstillede filterrør; fx en almindelig vandværksboring med slidsefilter og opsamlingskammer (slamrør).

En anden udformning af den passive prøvetager er skrå rør eller kamre, som kendes i versioner med ventiler (klapper på røret), der kan åbnes og lukkes (Simmons and Baker, 1993).

Fordele og ulemper
Ulempen ved den passive prøvetager er, at den ikke indsamler vand hele tiden, men kun når porevæsketrykket ligger over markkapacitet. For at mindske tab af flygtige stoffer, skal porevæskeindsamlingen derfor ske umiddelbart efter en betydende nedsivningshændelse.

Fordelen ved en passiv prøvetager i fx rørform er, at den kan nedsættes uden væsentlig forstyrrelse af jord eller grundvand. Desuden er metoden relativt billig.

3.2.3 Øvrige prøvetagningsmetoder

De metoder til prøvetagning af porevand, som er medtaget i dette afsnit, kræver som hovedregel, at jordprøver udtages og bringes til et laboratorium. Udtagelse af jordprøver uden stoftab vil være en kritisk faktor for disse metoder, specielt når der arbejdes med flygtige stoffer.

Endvidere er der medtaget en dialyse-metode.

3.2.3.1. Ekstraktion

Problematikken med at vurdere af porevæskens indhold af stoffer ud fra ekstraktion er dårligt beskrevet i litteraturen. I det følgende gennemgås de mest relevante beskrevne undersøgelser.

NPo-forskningsprogrammet
I forbindelse med NPo-forskningsprogrammet er der udført vandig udvaskning/udskyldning af NO3-N holdig porevæske fra jordprøver (Hansen et al., 1991). Jordprøverne, ca. 100 g fugtig jord, er tilsat ekstra væske (200 ml 1M KCl), således at der, efter udrystning i én time, fås fri væske, som analyseres efter filtrering. Den oprindelige porevæskekoncentration beregnes ud fra fortyndingen. Metoden er beskrevet af Landbrugsministeriet, 1988.

Forsøgene viser, at NO3-N-koncentrationer bestemt ved den beskrevne udskyldning stemmer godt overens med koncentrationer bestemt ved udcentrifugering af porevæske. Der var derimod nogen afvigelse over for koncentrationer i porevæske, som var opsamlet i minilysimetre (se figur 15) og/eller i sugeceller

VKI/Miljøstyrelsen
I forlængelse af arbejdet med bekendtgørelsen om genanvendelse af restprodukter og jord til bygge- og anlægsarbejder har Miljøstyrelsen ladet gennemføre et projekt om udvaskning af organiske stoffer fra jord og restprodukter (VKI, 1999).

Der er etableret en oversigt over "state of the art" med hensyn til processer og faktorer, som er styrende for udvaskning/desorption af organiske stoffer fra

forurenet jord og restprodukter. Herudfra er stofferne klassificeret i forhold til mulighed for anvendelse af udvaskningstest, og der er udført udvaskningsforsøg med baggrund i 4 forskellige forureninger, med variation i jord- og forureningstype. Udvaskningstestene er lavet som batch-forsøg, hvor man har tilstræbt, at der blev opnået ligevægt i systemet. De 4 test blev udført på temmelig lerholdig jord med forueningskomponenterne: MTBE + xylener, chlorerede opløsningsmidler, total-olie/kulbrinter samt PAH’er inkl. naphthalen.

Ved udvaskningsforsøgene er der sket en forbehandling (homogenisering) af jordprøverne. Selve agitationen, som har varet 6-120 timer, er udført i et udvaskningsmedie bestående af en 0,001 M KCl-opløsning. Væske/faststofforholdet, som er helt centralt for tolkningen af resultaterne af en udvask-ningstest, har været 2 l/kg. Med dette lave væske/faststofforhold har eluatmængderne været så små, at det har givet praktiske problemer med analyserne, som kræver relativt store væskemængder (se denne rapports afsnit 3.1).

Faststoffasen er separeret for eluatet ved filtrering eller centrifugering. Separation ved filtrering viste sig at være et særdeles kritisk punkt i forhold til udviklingen af en udvaskningsmetode, idet der i forbindelse med separationen var tab af stof til filtermaterialer og tab af stofferne ved fordampning. Separation ved centrifugering gav mindre stoftab.

Tidligere undersøgelser har vist (Kjeldsen et al., 1989), at der er problemer med afgivelse af organiske stoffer fra eller tab af organiske stoffer til materialer af plastic og i mindre grad teflon, mens materialerne glas og stål er mere uproblematiske. De her beskrevne forsøg viste imidlertid, at specielt PAH-indholdet er meget følsomt over for filtrering, og at der kan være stor forskel i sorptionstabet mellem forskellige typer af filtre, selv om alle filtrene er af glasfiber og at diameteren for partikelafskæring ligger inden for den samme størrelsesorden (se også Bauw et al., 1991). Problemerne skyldes bl.a. PAH’ernes affinitet til kolloider. For de tungere PAH’er kunne helt ned til mindre end 10% af mængderne genfindes i filtratet; for de lettere to-ringede PAH’er var genfindelsen typisk 80%.

I projektet blev de relevante organiske stoffer klassificeret i tre grupper:

Første gruppe indeholder stoffer, som sorberer kraftigt til jorden, har lille opløselighed i vand og er ikke-flygtige; fx de fleste PAH’er og dieselstoffer. Forsøgene bekræftede, at i forbindelse med disse stoffer vil specielt separation af fast fase fra eluatet, herunder hensyntagen til kolloidbundet stof og forsøgstider, være kritisk for en udvaskningstest.

Anden gruppe omfatter flygtige stoffer med forholdsvis høj opløselighed i vand; specielt de klorerede opløsningsmidler og BTEX’er. Kritisk for udvaskningsforsøg vil for denne gruppe stoffer være spredning i luften (flygtighed), specielt i forbindelse med forbehandling af jordprøverne og ved separation af fast stof og eluat. I projektet blev der benyttet henholdsvis 6 timers agitation i batch med efterfølgende filtrering, eller 6 timers agitation i en speciel "zero headspace beholder" som minimerer, at de flygtige stoffer i prøven fordamper (Skúladottir, 1996). Forsøgene viste, at der ved almindelig batch agitation med efterfølgende filtrering forsvandt betydelige stofmængder ud af systemet.

Tredje gruppe indeholder stoffer, som har meget høj opløselighed, men som sorberer meget lidt til jord; fx MTBE (methyltertiærbutylether) og phenoler. Disse stoffers spredning kan næppe vurderes ud fra egentlige udvaskningstest, idet stofferne kun i meget begrænset omfang findes associeret med jordmatricen.

Sammenfattende konkluderes, at den gennemførte undersøgelse har tilvejebragt et fagligt grundlag for at opstille forslag til udvaskningstest for organiske stoffer. Men det er blevet klart, at flere forhold kræver afklaring, inden der kan opstilles en testprotokol for anvendelsen af udvaskningsforsøg til vurdering af udvaskningen af organiske stoffer fra jord og restprodukter.

Fordele og ulemper
En ulempe ved ekstraktionsmetoden er, at hele porevæsken medtages uden hensyn til mobilitet. Derudover kan der frigøres adsorberende stoffer fra jorden, således at ekstraktionen giver udtryk for en større mængde mobiliserbart stof, som ikke nødvendigvis svarer til jordvæskens indhold. At vurdere transport til grundvandszonen ud fra ekstraktion er derfor forbundet med betydelige metodeproblemer over for stoffer, som adsorberes eller udfældes i jorden.

Som alternativ til sædvanlig langtidsekstraktion (batch) er det foreslået, at en hurtig udskyldning af en jordprøve måske kan give et bedre bud på stofkoncentrationer i den mest mobiliserbare porevæske (Hansen, 1999). Ved at mindske forsøgstiden (hurtig ekstraktion) vil man også mindske problemet med nedbrydning af stof, som der ellers skal tages højde for ved at ekstrahere/udskylle i iltfrit vand (det kan fx være vand, som i mindst 16 timer er gennemboblet med kvælstof og herefter tilsat Na2SO3 for at reducere den resterende iltmængde i prøveflaskerne (VKI, 1999)) og ved at gennemføre forsøgene under kølige forhold.

En ulempe ved metoder, som kræver udtagelse af jordkerner er, at jorden fysisk skal håndteres flere gange (udtagelse af jord, transport, oplukning, ekstraktion/centrifugering/squeezning samt eventuelt filtrering). Herved vil man ofte få stoftab, specielt fra flygtige stoffer. De udførte forsøg bekræfter, at metoden er vanskelig at anvende i forbindelse med flygtige stoffer.

En fordel ved ekstraktionsmetoden er, at processen kan gennemføres relativt hurtigt, og at der ikke findes frie flader med porevæske (som i lysimetre og sugeceller). Dette mindsker risikoen for afdampning og/eller nedbrydning.

Ekstraktion må forventes at være en relativt dyr metode i forhold til sugeceller og lysimetre. I hvert fald hvis der skal udføres monitering, hvor man kan genbruge sugeceller og lysimetre.

3.2.3.2 Centrifugering

Der findes mange beskrivelser af udcentrifugering af porevand, men beskrivelserne omhandler alene næringsstoffer og metaller; fx Azcue et al., 1977; Bufflap and Allen, 1995 og Mason et al., 1998.

En række forskellige udformninger af centrifugeindsatser har været benyttet til at centrifugere porevand ud af jordprøver (Saager et al., 1990; Hansen et al., 1991; Ninno et al., 1994). Selv om, at man i referencerne ikke har arbejdet med porevand med indhold af meget flygtige komponenter, har man alligevel konstrueret flere af centrifugeindsatserne som lukkede kamre, således at eventuel afdampning mindskes; se fig. 20.

Endvidere er nogle af indsatserne udformet med to kamre, således at der er mulighed for, at et inert materiale fyldes i det ene kammer; fx nitrogen eller en inert fluorocarbon som FC-78 (Bufflap and Allen, 1995). Under centrifugeringen vil densitetsforskelle medføre, at porevæsken i sedimentkammeret bytter plads med det inerte materiale. Se fig. 20.

I alle rapporterede forøg har omdrejningshastighedens betydning været genstand for undersøgelser. Som forventet gælder, at jo større omdrejningshastighed des mere væske centrifugeres ud af prøverne (Azcue et al., 1977).

Dette har imidlertid ikke nogen entydig betydning for stofkoncentrationerne. Nogle undersøgelser indikerer, at omdrejningshastigheden ikke har væsentlig betydning for koncentrationen af NO3, NH4, PO4, Tot-P og K (Hansen et al.,

 

Kammer (a) skrues på mellemstykket (b) som holder filtret (c), forfiltret (d) og o-ringen (h). Kammer (c) er fastgjort til mellemstykket (b) med en o-ring (f). Det øvre kammer, som indeholder jordprøven, lukkes med et polyethylen låg (g). Porevandet flyder gennem det store hul til kammer c, hvorfra nitrogen kan undslippe af det lille hul.

Fig. 20. Lukket centrifugeindsats (Saager et al., 1990).

1991) eller Ca, Al, SO4 og K (Zabowski & Ugolini, 1990), andre undersøgelser viser stigende metalkoncentration (Al-koncentration) som funktion af omdrejningsingshastigheden (Azcue et al., 1997), mens atter andre undersøgelser viser faldende metalkoncentrationer (Cu, Pb og Zn) som funktion af omdrejningshastigheden; Ankley and Schubauer-Berigan, 1994.

Fordele og ulemper
Et væsentligt problem ved centrifugeringsmetoden er, at det er vanskeligt at skaffe tilstrækkeligt med vand til de kemiske analyser; i hvert fald når det drejer sig om organiske forbindelser. Hvis centrifugeringsmetoden skal benyttes i et sådant tilfælde, må der udføres adskillige centrifugeringer for at skaffe tilstrækkeligt med vand.

Et andet væsentligt problem ved centrifugeringsmetoden er afdampning af stoffer. Kritiske tidspunkter er når jordprøven udtages, når den anbringes i centrifugeindsatsen, og når de fine partikler, som er suspenderet i eluatet, skal filtreres fra. Jord skal derfor påfyldes centrigefugeindsatsen, som bør være syreskyllet, i en nitrogenfyldt gloveboks, og der bør benyttes en nedkølet centrifuge. I de beskrevne undersøgelser er eluatet typisk filtreret i et 0,45 m m glasfiberfilter. Jf. afsnit 3.2.3.1 gælder det, at der kan være stort stoftab under filtreringen, specielt for PAH’er som har stor affinitet over for kolloider.

3.2.3.3 Squeezere

Ved denne metode udtages en intakt jordsøjle, hvorefter porevandet presses ud af den i en squeezer. Metoden benyttes til bløde havbundssedimenter, altså i mættet zone. For umættede og delvist kompakterede jorde vil metoden formentlig ikke kunne give vand nok til analyser, måske undtaget metalanalyser som kræver ringe vandmængde. I forskellige modeller kan trykket varieres mellem 100 og 5.000 psi (Bufflap & Allen, 1995).

I de fleste squeezere kan der tilsættes nitrogen, således at iltning af materialet undgås (Mason et al., 1998).

Det udpressede vand fa havbundssedimenter indeholder typisk en del kolloider, hvorfor vandet må filtreres. Der anvendes oftest et 0,45 m m glasfiberfilter.

Med squeezere tages der typisk vandprøver ud til analyse for indhold af næringsstoffer og jern (Jahnke, 1988), men der er også beskrevet udtagning af prøver til ananyse for kviksølv (Mason et al., 1998).

Fordele og ulemper
Metoden vil formentlig ikke kunne anvendes i kompakterede eller blot delvist kompakterede jorde, da der formentlig ikke vil kunne presses vand nok ud til analyserne, i hvert fald ikke til analyser for organiske stoffer.

I forbindelse med flygtige stoffer skal man være meget omhyggelig for ikke at tabe stof ved afdampning, når jordprøverne udtages.

3.2.3.4 Dialyse (peepere)

Ved denne metode opsamles vandprøver ved dialyse i en såkaldt peeper (Bufflap & Allen, 1995). Også denne metode er udviklet til bløde havbundssedimenter. Princippet er, at et volumen af deioniseret vand gennem en membran bringes i kontakt med sedimentets porevæske.Efter nogen tid vil der blive ligevægt mellem koncentrationerne i peeperens kamre og i sedimentets porevæske. Når ligevægten har indstillet sig, kan peeperen trækkes op, og de enkelte kamre tømmes for væske, som sendes til analyse.

Til metalundersøgelser af havbundssedimenter findes også gel-prøvetagere. I stedet for membrandækkede kamre med destilleret vand har gel-prøvetagerne en flade med polyacrylamid. Analyser foretages direkte på gelen ved proton-induktion, røntgen-emission eller ved syreekstraktion fulgt af atomabsorptionsspektrometri – AAS (Krom et al., 1994).

Fordele og ulemper
Den væsentligste ulempe ved peeperen er, at den er umulig at presse ned i delvist kompakterede materialer. Alene af den grund har peeperen formentlig ingen interesse i forbindelse med opsamling af porevand i umættet zone. Herudover er vandprøverne så små, at de ikke giver mulighed for analyse for indholdet af organiske forbindelser.

En ulempe ved metoden er endvidere, at der kan gå lang tid, op til adskillige uger, inden der bliver ligevægt mellem koncentrationerne.


4. Konklusion

Litteraturstudiet
…prøvetagningsmetoder
Ved det gennemførte litteraturstudie er der fundet mange artikler, som omhandler prøvetagning i umættet zone. Men kun yderst få artikler omhandler prøvetagning af stoffer, for hvilke der er fastlagt grundvandskvalitetskriterier; se tabel 1.1.

Det må fastslås, at der i øjeblikket ikke findes nogen metode, som kan dokumenteres at være anvendelig til prøvetagning af porevæske, som indeholder de nævnte stoffer. Ganske enkelte af metallerne (Ni, Cd, Cu og måske As) kan uden tvivl prøvetages med sugeceller og ved centrifugering, men ikke engang dette er veldokumenteret. Det er dog dokumenteret, at der med sugeceller kan udføres prøvetagning af pesticiderne: dicamba, MCPA, hexazinon, atrazin og bentazon.

Udvaskningstest har ofte været anvendt i forbindelse med vurdering af koncentrationer i porevæsken. En ulempe ved udvaskningstest i form af ekstraktionsmetoder er, at hele porevæsken medtages uden hensyn til hydrauliske forhold i jorden (mobilitet af porevandet). Desuden er der risiko for at frigøre en for stor mængde adsorberede stoffer fra jorden. Den porevæskekoncentration, der bliver beregnet ud fra ekstraktionen, kan således være udtryk for det ekstraherbare stof i stedet for et udtryk for jordvæskens indhold. Forsøg og beregninger viser, at jordprøvetagning og efterfølgende udvaskningstest kan føre til tab af flygtige stoffer.

De øvrige prøveudtagingsmetoder er meget dårligt beskrevet over for de relevante stoffer, men umiddelbart virker prøvetagning ved centrifugering og sugeceller (dog ikke ved flygtige komponenter) lovende. Anvendelse af hulfiber-prøvetagere, membran-filtrering, vakuum-plade prøvetagere, væge-prøvetagere, squeezere, dialyse-prøvetagere og lysimetre synes ikke at være lovende til vurdering af nedsivningen (porevæskekoncentrationen) fra eksisterende forureninger med de udvalgte stoffer.

…longitudinal dispersivitet
I den gennemgåede litteratur er der ikke fundet resultater, som kan bidrage til at vurdere den longitudinale (lodrette) dispersivitet af de stoffer, som der er fastlagt grundvandskvalitetskriterier for.

Vurdering af metoder
Det gennemførte litteraturstudie viser, at følgende metoder potentielt kan være egnede til bestemmelse af koncentrationer i den mobile del af porevandet:

  • Sugeceller
  • Passiv prøvetager (fx rørformet)
  • Vandig ekstraktion/udskylning
  • Centrifugering
  • Beregning efter fugacitetsprincippet

Afprøvning af metoder
Afprøvning og beskrivelse af metoderne kan gennemføres i tre faser:

  1. Indledningsvist udføres afprøvning under kontrollerede laboratorieforhold, således at usikkerheder, styrker og begrænsninger ved de enkelte metoder kan beskrives. Herudfra udvælges to eller flere metoder til videre undersøgelser i udendørs lysimere
  2. I udendørs lysimeterforsøg testes de udvalgte metoder under naturlige forhold. Der udarbejdes en manual, som beskriver den praksis, der skal anvendes ved undersøgelse af forurenede lokaliteter.
  3. Med baggrund i den udarbejdede manual gennemføres undersøgelser på en eller flere forureningslokaliteter. Herefter udføres en eventuel revision af manualen.

 

…forureningsstoffer
Som reference for laboratorieforsøgene udføres søjle/kolonne-forsøg.

Til videre undersøgelser af prøvetagningsmetoderne kan der udvælges to organiske stoffer, som, ud fra de tidligere nævnte stofklassificeringer, har forskellige udvasknings/desorptions-forhold. Det kan fx være diesel og TCE (eller benzin). Herudover medtages et eller to metaller i de videre undersøgelser.

…jordtyper
I laboratoriet kan forureningskomponenterne tilføres opløst i væskeform. Ved udendørs forsøg bør forureningskomponenterne tilføres i homogeniseret jord af relevant type, som spredes ud på toppen af lysimetret.

Jordtyperne skal bestå af moræneler og smeltevandssand, som er repræsentativt for henholdvis østdanske og vestdanske forhold. Aflejringerne skal udgøres af underjord beliggende umiddelbart under pløjelag/rodzone. Ved etablering af lysimetre skal jorden tilstræbes forstyrret mindst muligt. Det skal overvejes, hvordan man bedst muligt kan bevare sprækkezoner. Om muligt bør der anvendes lysimetre, som har været pakket i en årrække.

…nedbør
Ved de udendørs forsøg skal nedbør og vandindhold i jorden skal så vidt muligt repræsentere østdanske og vestdanske forhold, dvs. 200-300 mm/år for østdanske forhold og 600-700 mm/år for vestdanske forhold.

…analyser
Der anvendes relevante standard analysemetoder, (Miljøstyrelsen, 1998c).


5. Litteratur

5.1 Litteratursøgning
5.2 Litteraturliste

5.1 Litteratursøgning

Litteratursøgningen har omfattet dels en systematisk søgning i internationale databaser, dels fremskaffelse af relevant litteratur fra biblioteker ved Geoteknisk Institut og Danmarks JordbrugsForskning.

Den systematiske litteratursøgning er udført ved Statsbiblioteket i perioden december 1998 – januar 1999. Søgningen er foretaget med Dialog i 10 databaser, jf. tabel 5.1, med en tidsmæssig begrænsning til artikler fra perioden 1985 – 1999.

Der er gennemført en søgning med følgende søgeord:

      SOIL(W)WATER or SOILWATER
or   SOIL?(2N)WATER? or SOILWATER
or   PORE?(2N)WATER? or POREWATER?
or   VADOSE?(2N)WATER
or   (5N)SAMPL? and SUCTION?
or   (5N)SAMPL? and LYSIMETER?
or   (5N)SAMPL? and POROUS(W)CUP?
or   (5N)SAMPL? and CENTRIFUG?

For hver søgning er der foretaget udskrift af de fundne referencers titler. På baggrund heraf er åbenlyst irrelevante referencer frasorteret. For de resterende referencer er der foretaget udskrift af abstrakts. Efter gennemgang af abstrakts er relevante referencer bestilt til gennemlæsning hvis referencerne har kunnet skaffes fra et bibliotek i Danmark.

I alt 4.142 referencetitler er udskrevet. Heraf er der bestilt abstrakts på ca. 250 artikler.

De således udvalgte originalartikler er fremskaffet i deres helhed.

Tabel 5.1
Liste over internationale databaser, hvori der er gennemført systematisk søgning.

Aquatic Sciences and Fisheries Abstracts: 1978-1998,

(U. S. National Oceanic and Atmospheric Administration (NOAA)/Cambridge Scientific Abstracts, Bethesda, MD, USA).

AGRICOLA: 1970-1998,

(United States Department of Agriculture’s National Agricultural Library (NAL)).

AGRIS: 1974-1998,

(Dist. by NAL, AGRIS Coordinating Centre, Rome, Italy)

CAB Abstracts: 1972-1998,

(CAB International; Wallingford, Oxfordshire, U.K.).

Environmental Bibliography: 1974-1998,

(Environmental Studies Institute; Santa Barbara, CA, USA).

GEOBASE ™: 1987-1998,

(Elsevier Science B.V.; Norwich, U.K.).

GeoRef: 1785-1998,

(American Geological Institute; Alexandria, VA, USA).

Pollution Abstracts: 1970-1998,

(Cambridge Scientific Abstracts; Bethesda, MD, USA).

WATERNET: 1971-1998,

(American Water Works Association; Denver, CO, USA).

Water Resources Abstracts: 1967-1998,

(Cambridge Scientific Abstracts; Bethesda, MD, USA).

 

5.2 Litteraturliste

/1/
Andersen, B.R.; 1994:
Dissolved Inorganic and Organic Phosphorus in Soil Water from an Acid Forest Soil Collected by Ceramic and PTFE Soil Water Samplers.
Bull. Environ. Contam. Toxicol., Vol. 53, pp. 361-367.

/2/
Anderson, L.D.; 1986:
Problems Interpreting Samples Taken with Large-Volume, Falling Suction Soil-Water Samplers.
Ground Water, 1986.

/3/
Ankley, G.T. and Schubauer-Berigan, M.K.; 1994:
Comparison of Techniques for the Isolation of Sediment Pore Water for Toxicity Testing.
Arch. Environ. Ontam. Toxicol., 27, pp. 507-512.

/4/
ASTM (American Society for Testing and Materials): 1992.
Standard Guide for Pore-Liquid Sampling from the Vadose Zone.
Designation: D 4696-92.

/5/
Azue, J.M., Cheam, V. and Lechner, J.; 1997:
Effects of Centrifugation Speed on Measurements of Thallium in Sediment Pore Water.
Intern. J. Environ. Anal. Chem., Vol. 66, pp. 61-70.

/6/
Barbarick, K.A., Sabey, B.R. and Klute, A.; 1979:
Comparison of Various Methods of Sampling Soil Water for Determining Ionic Salts, Sodium, and Calcium Content in Soil Colmns.
Soil Science Society of America Journal, Vol. 43, pp. 1053-1055.

/7/
Barbee, G.C. and Brown, K.W.; 1986a:
Comparison Between Suction and Free-Drainage Soil Solution Samplers.
Soil Science, Vol. 141, 1986, pp. 149-154.

/8/
Barbee, G.C. and Brown, K.W.; 1986b:
Movement of Xylene through Unsaturated Soils following simulated Spills.
Water, Air, and Soil Pollution, 29, pp. 321-331.

/9/
Barcelona, M.J., Helfrich, J.A. and Garske, E.E.; 1988:
Verification of Sampling Methods and Selection of Meterials for Ground Water Contamination Studies.
Ground-Water Contamination Field Methods, ASTM STP 963, ASTM.

/10/
Bauw, D.H., de Wilde, P.G.M. Rood, G.A., and Aalbers, Th.G.; 1991:
A standard leaching test, including solid phase extraction, for the determination of PAH leachability from waste materials.
Chemosphere, Vol. 22, No. 8, pp. 713-722.

/11/
Beier, C. et al.; 1987:
Monitoring of soil chemical conditions and ion fluxes in small catchments.
Report prepared for The Steering Body for Environmental Monitoring, The Nordic Council of Ministers.
Technical University of Denmark.

/12/
Beier, C., Hansen, K., Gundersen, P. and Andersen, B.R.; 1992:
Long-Term Fiels Comparison of Ceramic and Poly(tetrafluoroethene) Porous cup Soil Water Samplers.
Environ. Sci. Technol. 26, pp. 2005-2011.

/13/
Bennetzen, F.; 1978:
Vandbalance og kvælstofbalance ved optimal planteproduktion.
2 – Teknik og metoder.
1392. beretning fra Statens Planteavlsforsøg. Særtryk af Tidsskrift for Planteavl, vol. 82, pp. 173-189.

/14/
Boll, J., Steenhuis, T.S. and Selker, J.S.; 1992:
Fiberglass Wicks for Sampling of Water and Solutes in the Vadose Zone.
Soil Sci. Soc. Am. Journ., 56, pp. 701-707.

/15/
Bouma, J., Jongerius, A. and Schoondeeek, D.; 1979:
Calculation of Hydraulic Conductivity of Some Saturated Clay Soils Using Micromorpho-Metric Data.
Soil Science Society of America Journal, Vol. 43, 1979, pp. 261-265.

/16/
Bottcher, A.B. Miller, L.W. and Campbell, K.L.; 1984:
Phosphorous Adsorption in Various Soil-Water Extraction Cup Materials: Effect of Acis Wash.
Soil Science, Vol. 137, pp. 239-244.

/17/
Brooks, R. H. and Corey, A. T.; 1964:
Hydraulic properties of porous media. Hydrology Paper 3.
Colorado State University, Fort Collins.

/18/
Brose, R.J., Shatz, R.W. and Regan, T.M.; 1986:
An Alternate Method of Lysimeter and Flour Pack Placement in Deep Boreholes.
Proceedings of the Sixth Nationel Symposium and Exposition on Aquifer Restoration and Ground Water Monitoring, NWWA, pp. 8-95.

/19/
Bufflap, S.E. and Allen, H.E.; 1995:
Sediment Pore Water Collection methods for Trace Metal Analysis: A Review.
Water Research, Vol. 29, No. 1, pp. 165-177.

/20/
Chow, T.L.; 1977:
Fritted Glass Bead materials as Tensiometers and Tension Plates.
Soil Science Society of America Journal, Vol. 41, pp. 19-22.

/21/
Cochran, P.H., Marion, G.F. and Leaf, A.L.; 1970:
Variations in Tension Lysimeter Leachate Volumes.
Soil Sci. Soc. Amer. Proc., 34, pp. 309-311.

/22/
Cole, D.W.; 1958:
Alundum Tension Lysimeter.
Soil Science, Vol. 85, pp. 293-296.

/23/
Cole, D.G., Gessell, S. and Held, E.; 1968:
Tension Lysimeter Studies of iron and Moisture Movement in Glacial Till and Coral Atoll Sites.
Soil Science Society of America Proceedings, Vol. 25, pp. 321-325.

/24/
Cole-Parmer Instrument Campany, Sales Division,; 1988:
Catalog of Products.

/25/
Corning Glass Works, 1988:
Catalog of Products.

/26/
Creasey, C.L. and Dreiss, S.J.; 1986:
Soil Water Sampler: Do They Significantly Bias Concentrations in Water Samples?
Proceedings of the NWWA Conference on Characterization and Monitoring of the Vadose Zone, NWWA, pp. 173-181.

/27/
Debyle, N.V. Hennes, R.W. and Hart, G.E.; 1988:
Evaluation of Ceramis Cups for Determining Soil Solution Chemistry.
Soil Science, Vol. 146, pp. 30-36.

/28/
Djurhuus, J. and Jacobsen, O. H.; 1995:
Comparison of ceramic suction cups and KCl extraction for the determination of nitrate in soil.
European Journal of Soil Science, 46, pp. 387-395.

/29/
Driscoll, C.T., Van Breemen, N. and Mulder, J.; 1985:
Aluminium Chemistry in a Forested Spodosol.
Soil. Sci. Soc. Amer. Jour., 49, 437-444.

/30/
El Bassam, N.; 1972:
Aussagewert der Chemischen Zusammensetzung einer durch Saugvorrichtung gewonnwn Bodenlösung.
Landbauforschung Völkenrode, 22 (1), 37-40.

/31/
Everett, L.G.; 1990:
Soil Pore-Liquid Monitoring.
In Devinny, J.S. et al.: Subsurface migration of Hazarsous Wastes. Environmental Engineering Series. Van Nostrand Reinhold, 1990. pp. 306-336.

/32/
Everett, L.G., Wilson, L.G. and McMillion, L.G.; 1982:
Vadose Zone Monitoring Concepts for Hazardous Waste Sites,
Noyes Data Corporation, New Jersey.

/33/
Faber, W.R. and Nelson, P.V.; 1984:
Evaluation of Methods for Solution from Container Root Media.
Communications in Soil Science Plant Analysis, Vol. 15, No. 9, pp. 1029-1040.

/34/
Flury, M., Wu, Q.J., Wu, L. og Xu, L.; 1998:
Analytical solution for solute transport with depth-dependent transformation or sorption coefficients.
Water Resources Research, Vol. 34, No. 11, pp. 2931-2937.

/35/
Genuchten, M. Th. van, Leij, F. J. and Wu, L.; 1997:
Characterisation and measurement of the hydraulic properties of unsaturated porous media. Proceedings of the International Workshop, Riverside, California, October 22-24, 1997.

/36/
Genuchten, M. Th. van & Wierenga, P. J., 1986:
Solute dispersion coefficients and retardation factors.
In A. Klute (ed.): Methods of soil analysis, part 1. Physical and mineralogical methods. ASA, Madison, Wisconsin.

/37/
Grant, R. og Blicher-Mathiesen, G.; 1990:
Landovervågningsprogram. Udtagning af jordvandsprøver. Sugecellers funktion.
Miljøministeriet. Danmarks Miljøundersøgelser. August 1990.

/38/
Grossmann, J., Freitag, G. und Merkel, B.; 1985:
Eingung von Nylon und Polyvinylidenfluoridmembranfiltern als Materialien zum Bau von Saugkerzen.
Z. Wasswe Abwasserforsch. 18, 187-190.

/39/
Grover, B.L., and Lamborn, R.E.; 1970:
Preparation of porous Ceramic Cups to be Used for Extraction of Soil Water Having Low Solute Concentrations.
Soil Science Society of America Proceedings, Vol. 34, pp. 706-708.

/40/
Hadrich, F., Stahr, K und Zttl; 1977:
Die Eingung von Al203-keramikplatten un Ni-Sinterkerzen zur Gewinnung von Bodenlösungen für die Spurenelementanalyse.
Mitteilgn. Dtsch. Bodenkundl. Gesellsch., 25, 151-162.

/41/
Hansen, B.; 1999:
Personlig kommunikation.

/42/
Hansen, B. et al.; 1991:
Analyse af jordvands sammensætning – metodesammenligning.
NPo-forskning fra Miljøstyrelsen. Nr. A17.

/43/
Hansen, E. A. og Harris, A. R.; 1975:
Validity of Soil-Water Samples Collected with Porous Ceramic Cups.
Soil Sci. Soc. Amer. Proc., Vol. 39, pp. 528-536.

/44/
Hart, G.L. and Lowery, B.;1997:
Axial-Radial Influence of Porous Cup Soil Solution Samplers in a Sandy soil.
Soil Sci. Soc. Am. J., 61, pp. 1765-1773.

/45/
Hetsch W., Beese, F. und Ulrich, B.; 1979:
Die Beeinflussung der Bodenlösung durch Saugkerzen aus Ni-Sintermetall und Keramik.
Z. Pflanzenern. Bodenk., 142, 29-38.

/46/
Holstener-Jørgensen, H.; 1955:
Vandets Bevægelse i Jorden.
Dansk Skovforenings Tidsskrift, 11, pp. 514-523.

/47/
Holder, M., Brown, K.W., Thomas, J.C., Zabcik, D. and Murray, H.E.; 1991:
Capillary-Wick Unsaturated Zone Soil Pore Water Sampler.
Soil Science Society of America Journal, 55, pp. 1195-1202.

/48/
Hornby, W.J., Zabick, J.D. and Crawly, W.; 1986:
Factors With Affect Soil-Pore Liquid: A Comparison of Currently Available Samplers with Two New Designs.
Ground Water Monitoring Review, Vol. 6. pp. 61-66.

/49/
Hughes, S. and Reynolds, B.; 1990:
Evaluation of porous ceramic cups for monitoring soil-water aluminium in acid soils: comment on a paper by Raulund-Rasmussen.
Journal of Soil Science, 41, pp. 325-328.

/50/
Jackson, D.R., Brinkley, F.S. and Bondietti, E.A.; 1976:
Extraction of Soil Water Using Cellulose-Acetate Hollow Fibers.
Soil Science Society of America Journal, Vol. 40, pp. 327-329.

/51/
Jahnke, R.A.; 1988:
A simple, reliable, and inexpensive pore-water sampler.
Limnol. Oceanogr., 33(3), pp. 483-487.

/52/
Jarvis, N.; 1991:
MACRO – A model of water movement and solute transport in macroporous soils.
Swedish University of Agricultural Sciences. Dept. of Soil Science. Reports and Dissertations 9. 58 pp.

/53/
Jarvis, N.; 1994:
The MACRO model (Version 3.1) Technical description and sample simulations.
Swedish University of Agriculturel Sciences. Dept. of Soil Science. Reports and Dissertations 19. 58 pp.

/54/
Jemison, J.M. and Fox, R.H.; 1992:
Estimation of Zero-tension Pan Lysimeter Cellection Efficiency.
Soil Science, Vol. 154, No. 2, pp.85-95.

/55/
Jensen, K.H., Ammentorp, H.C. og Sevel, T.; 1984:
Modelling of Solute Transport in the Unsaturated Zone.
Nordic Hydrology, 15, pp. 223-234.

/56/
Jensen, K.H. og Storm, B.; 1985:
Stoftransport i umættet og mættet zone – simple beregningsmetoder.
Stads- og havneingeniøren 2.

/57/
Johnson, T.M. and Cartwright, K,; 1980:
Monitoring of Leachate Migration in the Unsaturated Zone in the Vicinity of Sanitary Landfills.
State Geological Survey Circular 514, Urbana, Illinois.

/58/
Jones, J.N. and Miller, G.D.; 1988:
Adsorption of Selected Organic Contaminants onto Possible Well Casing Materials.
Ground-Water Contamination Field Methods, ASTM STP 963, pp. 185-198.

/59/
Jonge, H. de, Jacobsen, O. H., Jonge, L. W. de and Moldrup, P.; 1998:
Particle-facilitated transport of perchloraz in undisturbed sandy loam soil columns.
J. Environ. Qual., 27 (6), pp. 1495-1503.

/60/
Jørgensen, P.R.; 1990:
Spredning af forurening i moræneler.
Miljøprojekt 155. Miljøstyrelsen. 158 pp.

/61/
Jørgensen, P. R., McKay, L.D og Spliid, N.H.; 1998:
Evaluation of chloride and pesticide transport in a fractured clayed till using large undisturbed columns and numerical modeling.
Water Resour. Res.

/62/
Kjeldsen, P., Andersen, L.J., Christiansen, K., Grøn, C.,
Kirkegaard, C., Lund, U. Olsen, A.N., Segato, H. og Wium, M.; 1989:
Grundvandsprøvetagning og feltmåling.
Udredningsprojekt U3. Lossepladsprojektet.

/63/
Kjærgaard, M., Ringsted, J.P., Albrechtsen, H-J. og Bjerg, P.L.; 1998:
Naturlig nedbrydning af miljøfremmede stoffer i jord og grundvand.
Miljøprojekt nr. 408, Miljøstyrelsen.

/64/
Klute, A.; 1986:
ed., Methods of Soil Analysis, Part I.
Agronomy Series Monogragh No. 9, Second Edition,
American Society of Agronomy, Inc., Madison, Wisconsin.

/65/
Knighton, M. D. og Streblow, D. E.; 1981:
A More Versatile Soil Water Sampler.
Soil Science Society of America Journal, 45, pp. 158-159.

/66/
Krom, M.D., Davison, P., Zhang, H. and Davison, W.; 1994:
High-resolution pore-water sampling with a gel sampler.
Limnol. Oceanogr., 39(8), pp. 1967-1972.

/67/
Københavns Vandforsyning og VKI; 1998:
Test af 2 prøvetagere til prøvetagning af vand i umættet zone.

/68/
Landbrugsministeriet, 1988:
Fælles arbejdsmetoder for jordbrugsanalyser.

/69/
Law Engineering Testing company; 1982.
Lysimeter Evaluation Study.
American Petroleum Institute, may 1982.

/70/
Levin, M.J. and Jackson, D.R.; 1977:
A comparison of In Situ Extractors for Sampling Soil Water.
Soil Science Society of America Journal, Vol.41, pp. 535-536.

/71/
Linden, D. R.; 1977:
Design, Installation and Use of Porous Ceramic Samplers for Monitoring Soil-Water Quality.
Technical Bulletin No. 1562, U. S. Department of Agriculrure, Washington D. C., U. S. A.

/72/
Litaor, M.I.; 1988:
Rewiew of Soil Solution Samplers.
Water Resources Research, Vol. 24, May 1988, pp. 727-733.

/73/
Loll, P. og Moldrup, P.; 1998:
A new two-step modeling apporach: Application to water transport in a spatially variable unsaturated soil.
Water Resources Research, Vol. 34, No. 8, pp. 1909-1918.

/74/
Mason, R., Bloom, N., Cappellino, S. Gill, G., Benoit, J. and Dobbs, C.; 1998:
Investigation of Porewater Sampling Methods for Mercury and Methylmercury.
Environ. Sci. Technol., 32, pp. 4031-4040.

/75/
Miljøstyrelsen, 1998a:
Oprydning på forurenede lokaliteter – appendikser.
Vejledning fra Miljøstyrelsen, nr. 7, 1998.

/76/
Miljøstyrelsen, 1998b:
Naturlig nedbrydning af miljøfremmede stoffer i jord og grundvand.
Miljøprojekt nr. 408.

/77/
Miljøstyrelsen, 1998c:
Prøvetagning og analyse af jord.
Vejledning fra Miljøstyrelsen, nr. 13, 1998.

/78/
Misser, Per; 1999:
Personlig kommunikation.
Århus Amt, Natur og Miljø.

/79/
Mitchell, R.J. og Mayer, A.S.; 1998:
A numerical model for transient-hysteeretic flow and solute transport in unsaturated porous media.
Journal of Contaminant Hydrology 50, pp. 243-264.

/80/
Morrison, R.D.; 1982:
A Modified Vacuum-Pressure Lysimeter for Soil Pore Water Sampling.
Soil Science, 139(5), pp. 446-451.

/81/
Morrison, R.D.; 1983:
Ground Water Monitoring Technology.
Timco Mfg., Inc., Prairie Du Sac, Wisconsin.

/82/
Morrison, R.D. and Lowery, B.; 1990a:
Effect of Cup Properties, Sampler Geometry, and Vacuum on the Sampling
Rate of Porous Cup Samplers.
Soil Science, Vol. 149, No. 5, pp. 308-316.

/83/
Morrison, R.D. and Lowery, B.; 1990b:
Sampling Radius of a Porous Cup Sampler: Experimental Results.
Ground Water, Vol. 28, N0. 2, pp. 262-267.

/84/
Morrison, R., McGuire, P. and Lowery, P.; 1989:
Chemical and Hydraulic Limitations in the use of Porous Cup Samplers for Leachate Sampling.
Abstract presented at the Twelfth Annual Madison Waste Conference 1989, Department of Engineering Professional Development, Univ. of Wisconsin-Madison.

/85/
Morrison, R. D. and Tsai, T. C.; 1981:
Modified Vacuum-Pressure Lysimeter for Vadose Zone Sampling.
Huntington Beach, CA: Calscience Research, Inc.
Reference fra Everet, 1990.

/86/
Mott Metallurgical Corp., 1988:
Catalog of Products.

/87/
Nacchabe, M.H., Alvaro, L.I. og Illangasekare, T.H.; 1995:
Analytical Solutions for Water Flow and Solute Transport in the Unsaturated Zone.
Ground Water, Vol. 33, No. 2, 1995.

/88/
Nagpal, N.K.; 1982:
Comparison Among and Evaluation og Ceramic Porous Cup soil Water Sampler for Nutrient Transports Studies.
Can. Jour. Soil. Sci., 62, pp. 685-694.

/89/
Neary, A.J. and Tomassini, F.; 1985:
Preparation of Alundum/Ceramic Plate Tension Lysimeters for Soil Water Collection.
Canadian Journal of Soil Science, Vol. 65, pp. 169-177.

/90/
Nielson, D. and Phillips, R.; 1958:
Small Fritted Glass Bead Plates For Determination of Moisture Retention.
Soil Science Society of America Proceedings, Vol. 22, pp. 574-575.

/91/
Nightingale, H. I., Harrison, D. og Salo, J. E.; 1985:
An Evaluation Teechnique for Ground Water Quality Beneath Urban Runoff Retention and Percolation Basins.
Ground Water Monitoring Review, 5, pp. 43-50.

/92/
Ninno, J. R., Stonestrom, D. A. og Akstin, K. C.; 1994:
The Feasibility of Recharge Rate Determinations Using the Steady-State Centrifuge Method. Soil. Sci. Soc. Am. J., 58, pp. 49-56.

/93/
Oprydning på forurenede lokaliteter.
Vejledning fra Miljøstyrelsen, Nr. 6 og 7.
Miljøstyrelsen, 1998a.

/94/
Parizek, R. R. og Lane; 1970:
Soil-Water Sampling Using Pan and Deep Pressure-Vacuum Lysimeters.
Journal of Hydrology. Vol. 11, pp. 1-21.

/95/
Perrin-Ganier, C., Schiavon, M., Portal, J.M., Breuzin, C. and Babut, M.; 1993:
Porous Cups for Pesticides Monitoring in Soil Solution – Laboratory Tests.
Chemosphere, Vol. 26, No. 12, pp. 2231-2239.

/96/
Perrin-Ganier, C., Portal, J-M., Benoît, M and Schiavon, M.; 1996:
Monitoring Isoproturon Leaching in the Field by Drainage and Porous Cup Sampling.
Chemosphere, Vol. 32, No. 10, pp. 2043-2048.

/97/
Petersen, L. W.; 1994:
Transport and fate of volatile organic chemicals in soil: Influence of soil physical properties.
Ph. D. thesis, Aalborg Universitet.

/98/
Peters, C.A. and Healy, R.W.; 1988:
The Representativeness of Pore Water Samples Collected from the Unsaturated Zone Uning Pressure-Vacuum Lysimeters.
Ground Water Monitoring Review, pp. 96-101.

/99/
Ploeg, R. R. Van der & Beese, F.; 1977:
Model Calculations for the Extraction of Soil Water by Ceramic Cups and Plates.
Soil Sci. Soc. Amer. Jour., 41, pp. 466-470.

/100/
Prenart equipment; 1995:
Sampling equipment for soil and groundwater investigations.

/101/
Ransom, M.D., and Smeck, N.E.; 1986:
Water Table Characteristics and Water Chemistry of Seasonally Wet Soils of Southwesstern Ohio.
Soil Science Society of America Journal, Vol. 50, 1986, pp. 1281-1290.

/102/
Raulund-Rasmussen, K.; 1989:
Aluminium contamination and other changes of acid soil solution isolated by means of porcelain suction-cups.
Journal of Soil Science, 40, pp. 95-101.

/103/
Rasmussen, L., Jørgensen, P. og Kruuse, S.; 1986:
Soil Water Samplers in Ion Balance Studies on Acidic Forest Soils.
Bulletin og Environmental Contamination an Toxicology, 36, pp. 563-570.

/104/
Riekerk, H. og Morris, L. A.; 1983:
A Constant-Potential Soil Water Sampler.
Soil Sci. Soc. Amer. Journ., 47, pp. 606-608.

/105/
Saager, P.M., Sweerts, J-P. and Ellermeijer, H.J.; 1990:
A simple pore-water sampler for coarse, sandy sediments of low porosity.
Limnol. Oceanogr., 35(3), pp.747-751.

/106/
Saager, P.M., Sweerts, J.-P., og Ellermeijer, H.J.; 1990:
A simple pore-water sampler for coarse sandy sediments of low porosity.
Limnol. Oceanogr., 35(3), pp. 747-751.

/107/
Severson, R.C. and Grigal, D.F.; 1976:
Soil Solution Concentrations: Effeck of Extractin Time Using Porous CeramicCups under Constant Tension.
Water Resourcen Bulletin, 12 (6), pp. 1161-1170.

/108/
Schelde, K., Thomsen, A., Heidemann, T. Schjønning, P. og Jansson, P.-E.; 1998:
Diurnal fluctuatations of water and heat flows in a bare soil.
Water Resources Research, Vol. 34, No. 11, pp. 2919-2929.

/109/
Schimmack, W., Bunzl, K. und Kreutzer, K.; 1984:
Soption von Schwermetallionen aus Bodenlosungen durch Saugkerzen: Einfluss der Huminsäuren.
Proceedings SymposiumWald und Wasse, Grafenau. Nationel Verwaltung Bagenisher Wald, 1.-5.9., 285-290.

/110/
Silkworth, D.R. and Grigal, D.F.; 1981:
Field Comparison of Soil Solution Samplers.
Soil Science Society of America Journal, Vol. 45, pp. 440-442.

/111/
Simmons, K. E. & Baker, D. E.; 1993:
A Zero-Tension Sampler for the Collection of Soil Water in Macropore Systems.
J. Environ. Qual., 22, pp. 207-212.

/112/
Soilmoisture Equipment Corp., 1988:
Catalog of Products.

/113/
Starr, M.R.; 1985:
Variation in the Quality of Tension Lysimeter Soil Water Samples from a Finnish Forrest Soil.
Soil Science, 140(6), pp.453-461.

/114/
Stevenson, C.D.; 1978:
Simple Apparatus for Monitoring Land Disposal Systems by Sampling Percolating Soil Waters.
Environmental Science and Technology, Vol. 12, pp.329-331.

/115/
Talsma, T., Hallam, P.M. and Mansell, R.S.; 1979:
Evaluation of Porous Cup Soil-Water Extractors: Physical Factors.
Austr. Jour. Soil. Res., No. 17, pp. 417-422.

/116/
Tanner, C.B., Bourget, S.J. and Holmes, W.E.; 1954:
Moisture Tension Plates Constructed from Alundum Filter Discs.
Soil Science Society of America Proceedings, Vol. 18, pp. 222-223.

/117/
Thomas, G.W. and Phillips, R.E.; 1979:
Consequences of Water Movement in Macropores.
Journal of Environmental Quality, Vol. 8, 1979, pp. 149.

/118/
Tischner, T., Nützmann, G. and Pöthig, R.; 1998:
Determination of Soil Water Phosphorus with a New Nylon Suction Cup.
Bull. Environ. Contamin. Toxicol. 61, pp. 325-332.

/119/
U. S. EPA; 1986:
Environmental Monitoring Systems Laboratory.
Permit Guidance Manual on Unsaturated Zone monitoring for Hazardous Waste Land Treatment Units.
U. S. Environmental Protection Agency, Office of Solid Waste and Emergency Response; EPA/530-SW-86-040, October 1986.

/120/
VKI; 1999.
Udvikling af metode til testning af udvaskning af organiske stoffer fra jord og restprodukter. Udkast til rapport, 1999-07-15.
Udarbejdet for Miljøstyrelsen.

/121/
VKI og Københavns Vandforsyning; 1993:
Test af to prøvetagere til prøvetagning af vand i umættet zone.

/122/
Wagemann, R. and Graham, B.; 1974:
Membrane and Glass Fibre Filter Contamination in Chemical Analysis of Fresh Water.
Water Research, Vol. 8, pp.407-412.

/123/
Wagner, G.H.; 1962:
Use of Porous Ceramic Cups to Sample Soil Water Within the Profile.
Soil Science, Vol. 95, pp. 379-386.

/124/
Ward, R. C.; 1967:
Principles of Hydrogeology.
McGraw-Hill Publishing Company Limited.

/125/
Warrick, A.W. and Amoozegar-Fard, A.; 1977:
Soil Water Regimes Near Porous Cup Water Samplers.
Water Resources Research, Vol. 13, 1977, pp. 203-207.

/126/
Webster, R.; 1965:
The Measurement of Soil Water Tension in the Field.
The New Phytologist, 65(2), pp. 249-258.

/127/
Wilson, L.G.; 1981:
The Fate of Pollutants in the Vadose Zone, Monitoring Methods and Case Studies.
Thirteenth Biennial Conference on Ground Water, September 1981.

/128/
Wilson, N., 1995:
Soil Water and GroundWater Sampling.
Lewis Publishers.

/129/
Wolff, R.G.; 1967:
Weathering Woodstock Granite, near Baltimore, Maryland.
American Journal of Science, Vol. 265, pp. 106-117.

/130/
Zabowski, D. and Ugolini, F.C.; 1990:
Lysimeter and Centrifuge Soil Solutions: Seasonal Differences between Methods.
Soil Sci. Am. J., 54, pp. 1130-1135.

/131/
Zimmermann, C.F., Price, M.T. and Montgomery, J.R.; 1978:
A Comparison of Ceramic and Teflon In-Situ Samplers for Nutrient Pore Water Determinations.
Estuarine and Coastal Marine Science, Vol. 7, pp. 93-97.


Bilag

Omregningstabel for porevandstryk (4 ° C)

cm vand

pF

hPa

bar

kp/cm2

psi

cm Hg

atm

2,5

10

16

50

75

100

160

200

500

1600

15306

15849

0,40

1,00

1,20

1,70

1,88

2,00

2,20

2,30

2,70

3.20

4,18

4,20

2,5

10

16

50

75

100

160

200

500

1600

15306

15849

0,003

0,010

0,016

0,050

0,075

0,100

0,160

0,200

0,500

1,600

15,31

15.85

0,003

0,010

0,016

0,051

0,076

0,102

0,163

0,203

0,509

1,630

15,57

16,15

0,036

0,145

0,232

0,725

1,087

1,449

2,32

2,90

7,25

23,18

221,8

229,7

0,18

0,74

1,18

3,68

5,52

7,36

11,77

14,71

36,78

117,7

112,6

116,6

0,003

0,010

0,016

0,049

0,074

0,099

0,158

0,197

0,494

1,58

15,1

15,6

 

 

 

 

 

 

 

 

 

 

 

 

 

 

Anvendte konstanter:

Vands massefylde ved 4 ° C = 1,00 kg/m3.
Kviksølvs massefylde ved 4 ° C = 13,596 kg/m3.
1 bar = 14,49 psi.

 

 


[Forside] [Top]