| Forside | | Indhold | | Forrige | | Næste |
Oprensning af klorerede opløsningsmidler ved stimuleret reduktiv deklorering - bilagsrapport
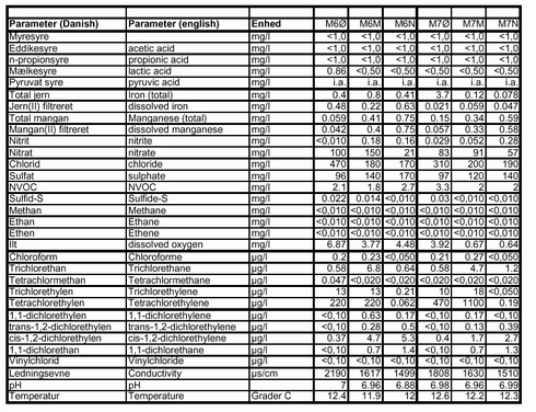
Bilag K Analyseresultater
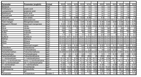
 Klik på billedet for at se html-version af: ‘Analyseresultater april 2001‘
 Klik på billedet for at se html-version af: ‘April 2001‘
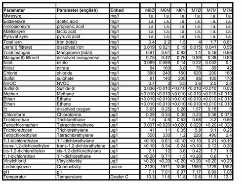
 Klik på billedet for at se html-version af: ‘April 2001‘
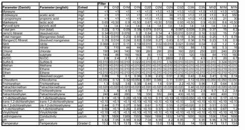
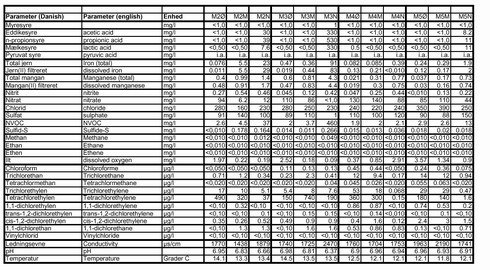
 Klik på billedet for at se html-version af: ‘Oktober 2001‘
 Klik på billedet for at se html-version af: ‘Oktober 2001‘
 Klik på billedet for at se html-version af: ‘Oktober 2001‘
 Klik på billedet for at se html-version af tabellen
 Klik på billedet for at se html-version af tabellen
 Klik på billedet for at se html-version af tabellen
 Klik på billedet for at se html-version af tabellen
| Forside | | Indhold | | Forrige | | Næste | | Top |
|