| Forside | | Indhold | | Forrige | | Næste |
Opdatering af Bicheludvalgets driftsøkonomiske analyser
7 Driftsøkonomisk optimering for faste sædskifter
7.1 Økonomisk optimering og stigende marginalnytte
7.2 Optimale planteværnsstrategier
7.3 Forudsætninger for beregningerne
7.3.1 Priser og udbytter
7.3.2 Arealanvendelse
7.4 Reduktionsmuligheder ved fastholdt arealanvendelse
7.4.1 Opregning hele landet
7.4.2 Bedriftstyperne
7.4.3 Følsomhedsanalyser
7.4.4 Mekanisk ukrudtsbekæmpelse og sortsvalg
7.4.5 Opsummering
7.1 Økonomisk optimering og stigende marginalnytte
I de nye driftsøkonomiske beregninger er det valgt at lade Bicheludvalgets faglige scenarier erstatte med nogle økonomiske scenarier i form af gennemregning og analyser af optimale pesticidstrategier ved forskellige krav til pesticidernes marginalnytte. Med brug af skyggepriserne sikres det i teorien, at de forskellige ”scenarier” er nogenlunde lige dyre for de enkelte bedriftstyper samtidig med, at der for hvert ”scenarium” sikres de størst mulige reduktioner for de mindst mulige driftsøkonomiske såvel som samfundsøkonomiske omkostninger.
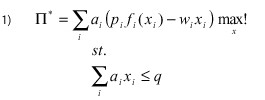
Formel 1) viser den økonomisk-matematiske sammenhæng mellem en pesticidkvote, pesticidernes marginalnytte og pesticidernes skyggepris.

Det skitserede økonomiske problem består i at bestemme den pesticidanvendelse (x) der maksimerer landmandens nytte, her udtrykt ved det økonomiske afkast (II) for en given arealanvendelse (a) under hensyntagen til produktpriser (p), pesticidpriser (w) og en bindende pesticidkvote (q). Udbyttet i de enkelte afgrøder (i) er bestemt som en funktion af pesticidforbruget (f(x)).
For at kunne løse et sådant optimeringsproblem under bibetingelser, må objektfunktionen (II) omformuleres til en ny objektfunktion (L) med brug af en såkaldt Lagrange multiplikator (λp). Se 2).

I optimum skal førsteordens betingelsen for pesticider, hvor pesticidernes marginalnytte (dL / dx ) og dermed ( pi f i- λp) er nul, være opfyldt for hver eneste afgrøde (i). Se 3).

Det skal bemærkes, at pesticidernes marginaleffekt df‘i (xi) /dx og dermed fi‘ udtrykker udbyttet (hkg) af den sidst tilførte enhed pesticider (BI) og derfor måles i Hkg pr. BI.
Pesticidernes marginalnytte dL / dx og dermed pi fi‘ - wi - λ udtrykker derimod det økonomiske overskud (DKK) eller nettomerudbyttet af den sidst tilførte enhed pesticider (BI) og måles derfor i DKK pr. BI.
Lagrange multiplikatoren (λ) er pesticidernes skyggepris, der udtrykker, hvor meget landmandens indtjening øges, hvis han kunne bruge en enhed pesticid mere. Det er ligeledes den pris, landmanden ved en given kvote (q) vil være villig til at betale for ekstra pesticider.
I en økonomisk optimal løsning, med eller uden kvoter og afgifter, er marginalnytten altid nul. Skyggeprisen vil derimod altid være positiv ved en bindende kvote og nul ved en ikke bindende kvote. Kun ved en frivillig reduktion i pesticidanvendelsen vil pesticidernes marginalnytte og skyggeprisen på pesticider være ens og positive.
At kræve en større marginalnytte svarer til at indføre (forhøje) skyggeprisen på pesticider eller at indføre (skærpe) en given pesticidkvote. Ved at kræve en større marginalnytte bevæger man sig derfor væk det økonomiske optimum -men det kan der være gode grunde til. At den økonomiske optimering fx ikke inddrager omstillingsomkostningerne (optimerings eller transaktionsomkostningerne) eller den nytte landmanden har af at undgå kvoter eller afgifter.
Under forudsætning af en fuld tilbageføring af afgiftsprovenuet vil en afgift på behandlingsindekset have præcist samme effekt på økonomien og pesticidforbruget som kravet om en given marginalnytte. I det følgende vil begreberne ”stigende krav til aflønning af pesticiderne”, ”pesticidernes marginalnytte”, ”pesticidernes skyggepris” og ”pesticidafgift” derfor blive benyttet som synonymer.
Ved brug af en biologisk skadestærskel vil man øge pesticidanvendelsen til et punkt, hvor pesticidernes marginaleffekt er 0, svarende til det størst mulige bruttoudbytte. Ved brug af en økonomisk skadestærskel vil man derimod øge pesticidanvendelsen til et punkt, hvor pesticidernes marginalnytte er 0, svarende til det størst mulige økonomiske udbytte (nettoudbytte). Ved en integreret planteproduktion (IP) benyttes pr. definition en økonomisk skadestærskel, der optimerer landmandens økonomi og sikrer, at marginalnytten af de sidst anvendte pesticider er nul eller tæt på nul.
Ved planlægning og gennemførelse af en optimal planteavl, skal der fokuseres på mere end blot pesticidernes marginalnytte. Udnyttelsen af jorden (arealanvendelsen), arbejdskraften og maskinerne mv. skal også optimeres. En økonomisk optimering af pesticidanvendelsen alene, kan derfor sagtens være en suboptimal løsning for landmanden.
Det er derfor nødvendigt at skelne mellem de driftsøkonomiske beregninger med en partiel optimering af pesticidanvendelse for et fastholdt sædskifte (dette kapitel), og beregningerne med den driftsøkonomiske planteavlsmodel (DØP modellen) (i kapitel 8), hvor det ikke er pesticidanvendelsen, men planteavlen og landmandens samlede økonomi der ønskes optimeret.
7.2 Optimale planteværnsstrategier
De følgende figurer giver nogle eksempler på, hvordan kravet om en stigende marginalnytte vil komme til udtryk ved valget af planteværnsstrategier for korn i de driftsøkonomiske beregninger.
Figur 7.1 viser eksempler på en økonomisk optimal herbicidanvendelse i korn ved et stigende krav til marginalnytte.
Figur 7.1. Økonomisk optimalt herbicidanvendelse i korn ved et stigende krav til marginalnytte

Det fremgår af figuren, at justeringerne af dosis mv. foregår i nogle få relativt store ryk. Dette skyldes, at der (jf. kapitel 6) kun er et begrænset antal pesticidanvendelser til rådighed. I praksis er der lang flere pesticidanvendelsesmuligheder til rådighed, og det vil i højere grad være muligt og økonomisk attraktivt at justere pesticidforbruget mere trinløst.
Figuren viser også, at der aktuelt er et herbicid- og vækstreguleringsforbrug på 1,1 BI i hvede (vinterhvede til foder). Det vil imidlertid være økonomisk optimalt at reducere forbruget til ca. 0,85 BI. Ved en skyggepris på 500 kr. pr. BI vil herbicidforbruget være reduceret til under 0,5 BI i alle arterne og lavest i vårbyg med et forbrug på en ¼ dosis herbicider. Først ved en skyggepris på mere end 1.000 kr. pr. BI reduceres herbicidforbruget i vårbyg, maltbyg og vinterbyg yderligere, mens herbicidforbruget i vinterhvede fastholdes på ca. 0,3 BI.
Figur 7.2 viser økonomisk optimal fungicid- og insekticidanvendelse i korn ved et stigende krav til marginalnytte.
Det fremgår af figuren, at forbruget af fungicider og insekticider i vinterbyg vil reduceres væsentligt allerede ved et krav om en marginalnytte på 100 kr. pr. BI. For vinterhvede og vårbyg er forbruget af fungicider og insekticider ophørt ved en skyggepris på 1.500 kr. pr. BI. For hvede og maltbyg ophører forbruget først ved en skyggepris på mellem 1.500 og 2.000 kr. pr. BI.
Figur 7.2. Optimal fungicid- og insekticidanvendelse i korn ved et stigende krav til marginalnytte
7.3 Forudsætninger for beregningerne
7.3.1 Priser og udbytter
De priserne, der benyttes i de driftsøkonomiske beregninger, er fastsat så de bedst muligt afspejler de aktuelle priser foråret 2003.
Tabel 7.1 og 7.2 viser priser og timeforbrug for planteværnsoperationer samt produktpriser og udbytter.
Klik her for at se "Tabel 7.1"
Klik her for at se "Tabel 7.2"
7.3.2 Arealanvendelse
I de driftsøkonomiske beregninger vil den overordnede arealanvendelse for hele landet og bedriftstyperne være bestemt på baggrund af FØI regnskabsdata 2001. Til den mere detaljerede fordelingen på typer, sorter og dyrkningsformål af raps, frøgræs og kartofler er der skelet til arealanvendelsen i behandlingsindeksregnskaberne.
Tabel 7.3 viser bedriftstypernes arealanvendelse 2001.
Fordelingen af vinterhvede på brødhvede, eksporthvede og foderhvede samt fordelingen af vårbyg på maltbyg og foderbyg er foretaget ved et subjektivt skøn. Arealet med brødhvede skal samlet udgøre ca. 2 pct. af det samlede landbrugsareal og maltbyg skal udgøre ca. 6 pct. – 12 pct. af det samlede landbrugsareal. Det er vurderet, at produktionen af brødhvede og maltbyg primært foregår på lerjord på bedriftstyperne med sukkerroer (03Suk), frøgræs (04Frø) og planteavl i øvrigt (01Pla).
Ved fordeling af arealerne med vinterhvede på lerjord er det antaget, at 2/3 af vinterhveden ekskl. brødhvede er eksporthvede på såvel de ikke specialiserede planteavlere (01Pla) som for de planteavlere, der er specialiseret i sukkerroer (03Suk) og frøavl (04Frø). For svinebrugene (02Svn) er det antaget, at kun 1/3 af vinterhveden er eksporthvede.
Den bedste og sikreste produktion af maltbyg foregår på de gode jorde. Merprisen for maltbyg er imidlertid så stor, at der i mange tilfælde er god økonomi i også at tage chancen og dyrke maltbyg på mindre egnende arealer. Ved dyrkning af maltbyg begrænses sortsvalget, og den forventede merpris vil alt andet lige kunne begrunde et større pesticidforbrug i maltbyg. Det vurderes, at der dyrkes maltbyg på 12 pct. af det samlede areal, men at kun vårbyg fra ½ delen af dette areal i sidste ende opnår en merpris. Ved beregning af reduktionsmulighederne for de faste sædskifter gør det imidlertid ikke den store forskel, om der regnes med ½ merpris for 12 pct. af arealet eller fuld merpris for 6 pct. af arealet9.
Klik her for at se "Tabel 7.3"
7.4 Reduktionsmuligheder ved fastholdt arealanvendelse
I dette afsnit vil reduktionsmulighederne i hele landet og for nogle udvalgte bedriftstyper blive præsenteret. Det skal understreges, at der er tale om beregninger for en uændret arealanvendelse. Det betyder, at reduktionsmulighederne undervurderes og reduktionsomkostningerne overvurderes i forhold til 1) hvad der vil være muligt i praksis, 2) hvad der blev beregnet i Bicheludvalget (Ørum 1999, side 41), og 3) hvad der kan beregnes med den driftsøkonomiske planteavlsmodel (Kapitel 8).
Først præsenteres de opregnede reduktionsmuligheder for hele landet. Dernæst præsenteres reduktionsmulighederne og nogle følsomhedsanalyser for fire udvalgte bedriftstyper. Hvor intet andet er anført, kalkuleres med en
timeløn på 120 kr. pr. time, 2003 priser jf. tabel 7.1 og 7.2, mulighed for at vælge sunde sorter på 50 pct. af kornarealet samt mulighed for at radrense roer og raps. Ved opregning for hele landet benyttes bedriftstypernes arealandele jf. FØI Regnskabsstatistik (tabel 3.2).
Ved beregning af reduktionsmulighederne opgøres reduktionsomkostningerne i form af nettoomkostninger til planteværn. Nettoomkostningerne til planteværn er beregnet som summen af omkostningerne til kemikalier, udbringning, mekanisk ukrudtsbekæmpelse, udbyttetab og monitering jf. beskrivelsen af pesticidanvendelserne i kapitel 6. I nogle sammenhænge kan ændringerne i disse omkostninger blive omtalt/vist som reduktionsomkostninger.
7.4.1 Opregning hele landet
Tabel 7.4 viser reduktionsmuligheder ved en uændret arealanvendelse for hele landet.
Klik her for at se "Tabel 7.4"
Det fremgår af tabellen, at det aktuelle pesticidforbrug for hele landet er beregnet til 2,01 BI, mens de tilsvarende gennemsnitlige kemikalieomkostninger udgør 532 kr. pr. ha. Dette pesticidforbrug svarer godt til det forventede aktuelle pesticidforbrug i 2002, og ligger som forventet ca. 10 pct. over forbruget i behandlingsindeksopgørelserne jf. kapitel 4. Til gengæld er de beregnede kemikalieomkostninger 66 kr. højere pr. ha end beregnet i regnskabsstatistikken for 2001 (466 kr. pr. ha mod 532) jf. tabel 3.13. Dette viser, at modellen er godt kalibreret til den aktuelle nudrift.
Det fremgår også af tabellen, at pesticidforbruget ved en økonomisk optimal pesticidanvendelse og en fastholdt arealanvendelse reduceres til 1,74 BI, mens nettoomkostningerne til planteværn kan reduceres med godt 90 kr. pr. ha (fra 1.071 til 982 kr. ha). Konsekvenserne af et reduceret pesticidforbrug er beregnet med et stigende krav til pesticidernes marginalnytte på mellem 0 og 2.000 kr. pr. BI. Ved et krav om en marginalnytte på 2.000 kr. pr. BI vil det samlede pesticidforbrug i dansk landbrug jf. tabellen kunne reduceres til 0,54 BI, samtidig med at nettoomkostningerne til planteværn vil stige med knap 880 kr. pr. ha (fra 982 til 1.862 kr. pr. ha). Det fremgår også, at det samlede gennemsnitlige tidsforbrug til planteværn, der inkluderer radrensning, båndsprøjtning og aftopning af kartofler, stort set er upåvirket af reduktioner ned til 1,0 BI, og først rigtig stiger ved reduktioner til under 0,5 BI.
Figur 7.3 viser reduktionsmuligheder ved en uændret arealanvendelse for hele landet.
Figur 7.3 Reduktionsmuligheder ved en uændret arealanvendelse for hele landet

Kilde: Driftsøkonomiske beregninger for 10 udvalgte bedriftstyper opregnet for hele landet
Det fremgår af figuren, at reduktionsomkostningerne er støt stigende ved en reduceret pesticidanvendelse. Det er derfor vanskeligt at udpege nogle særligt oplagte reduktionsmål frem for andre. En reduktion til 1,74 BI giver som nævnt et overskud på 90 kr. pr. ha. En reduktion til 1,4 BI vil med en fastholdt arealanvendelse koste ca. 50 kr. pr. ha, og en reduktion til 1,3 BI vil koste ca. 75 kr. pr. ha. Det fremgår af figuren, at landbruget vil være økonomisk lige godt stillet ved 2,01 BI som ved 1,3 BI.
Ved et ønske om en reduktion til fx 1,4 BI kan det principielt diskuteres 1) om landbruget skal kompenseres (med 50 kr. pr. ha) for ikke hidtil at have optimeret pesticidanvendelsen, 2) om reduktionen vil være omkostningsfri for landbruget eller 3) om de driftsøkonomiske beregninger er velegnede til at belyse disse forhold. De efterfølgende følsomhedsanalyser og analyser af forskellige muligheder og barrierer for fastholdt arealanvendelse samt tilsvarende analyser på bedriftsniveau (kapitel 8) og de afsluttende diskussionerne (kapitel 9) kan forhåbentligt være med til at nuancere og kvalificere denne diskussionen.
7.4.2 Bedriftstyperne
Tabel 7.5 viser reduktionsmulighederne ved uændret arealanvendelse på fire bedriftstyper.
Klik her for at se "Tabel 7.5"
Det fremgår af tabellen, at der er stor variationen i bedriftstypernes pesticidforbrug i den aktuelle nudrift ved en optimal pesticidanvendelse og ved forskellige krav til pesticidernes marginalnytte. Af de fire udvalgte bedriftstyper er det bedriftstypen med sukkerroer (03Suk) der har det største aktuelle pesticidforbrug (2,35 BI) og de største netto planteværnsomkostninger (1.634 DKK pr. ha) i nudriften.
Figur 7.3 viser reduktionsmulighederne ved en uændret arealanvendelse på fire bedriftstyper.
Figur 7.3 Reduktionsmulighederne ved en uændret arealanvendelse på fire bedriftstyper
 Kilde: Driftsøkonomiske beregninger for 10 udvalgte bedriftstyper opregnet for hele landet
Det fremgår af figuren, at der for alle bedriftstyperne kan opnås en økonomisk gevinst ved at reducere pesticidforbruget i forhold til den aktuelle pesticidanvendelse. Herefter stiger omkostningerne og pesticidforbruget mindskes ved en stigende marginalnytte for anvendelse af pesticider. De første reduktioner er de billigste. Herefter stiger omkostningerne markant.
Tabel 7.6 viser reduktionsomkostninger ved fastholdt arealanvendelse for fire bedriftstyper.
Klik her for at se "Tabel 7.6"
Det fremgår af tabellen, at bedriftstyperne ved et stigende krav til pesticidernes marginalnytte har stigende, men meget ens reduktionsomkostninger. Det fremgår også, at størrelsen af marginalnytten langt fra afspejler sig i størrelsen af reduktionsomkostningerne. En krævet marginalnytte (skyggepris) på fx 300 kr. pr. BI vil således ”kun” medføre reduktionsomkostninger i størrelsesordenen 41 til 75 kr. pr. ha.
Figur 7.4 viser reduktionsomkostninger ved fastholdt arealanvendelse for fire bedriftstyper.
Figur 7.4 Reduktionsomkostningerne ved fastholdt arealanvendelse for fire bedriftstyper.
 Kilde: Driftsøkonomiske beregninger for 10 udvalgte bedriftstyper opregnet for hele landet
Det fremgår af figuren, at der med krav om en stigende marginalnytte for anvendelse af pesticider opnås rimeligt ensartede samlede reduktionsomkostninger i bedriftstyperne. Bedriftstypen med kvæg på sandjord (10Kvg) har dog generelt lavere reduktionsomkostninger. Først ved et nationalt pesticidforbrug på under 1,3 BI stiger reduktionsomkostningerne lidt mere på planteavlsbedriften på lerjord (01Pla) end de øvrige planteavlsbedrifter. For bedrifter med sukkerroer (03Suk) er der en stor effekt af, at det nye fungicid (Opus) der giver et merudbytte på 5 pct. Det fremgår, at midlet ikke er anvendt i den aktuelle nudrift (AKT).
7.4.3 Følsomhedsanalyser
I dette afsnit bliver der fortaget en række følsomhedsanalyser for forhold og muligheder, der kan påvirke reduktionsmulighederne, uden at der i øvrigt foretages justeringer i arealanvendelserne. Det skal således analyseres, hvorledes pesticid- og kornpriser samt landmandens krav til arbejdslønning vil kunne påvirke reduktionsmulighederne. I beregningerne i det foregåede afsnit blev det antaget, at der kunne dyrkes sunde sorter af vårbyg og vinterhvede på 50 pct. af kornarealet, at lægge- og spisekartoflerne kunne aftoppes mekanisk samt at roer og raps kunne radrenses og båndsprøjtes. Det skal derfor også analyseres, hvorledes disse forudsætninger påvirker reduktionsmulighederne.
Tabellerne 7.7 og 7.8 viser landbrugets samlede pesticidforbrug og reduktionsomkostningerne for forskellige kombinationer af marginalnytte, prisændringer på korn og pesticider, landmandens timeløn, mulighed for at dyrke sunde sorter af vårbyg og vinterhvede samt mulighed for at radrense roerne.
Klik her for at se "Tabel 7.7"
I beregningerne er benyttet et krav til pesticidernes marginalnytte stigende fra 0 til 900 kr. pr. BI. Der er tale om nogle grove overslag, hvor marginalnytten stiger med 150 kr. pr. beregning.
Tabellerne viser for hver skyggepris behovet for pesticider, nettoomkostningerne til plant eværn samt reduktionsomkostningerne for herbicider og vækstregulering (Herb), fungicider og insekticider (FunIns) samt for pesticiderne i alt. For det samlede pesticidforbrug er desuden vist netto reduktionsomkostninger.
Ved billigere og dyrere korn og pesticider er der regnet med prisfald henholdsvis prisstigninger på 20 pct. i forhold til de nuværende priser. Kombinationen med billigere pesticider og dyrere korn giver en relativ prisstigning på pesticider på ca. 33 pct., der stort set modsvarer den realiserede prisstigning for pesticider på godt 50 pct. fra 1995/96 til 2003 jf. figur 2.4. Det betyder, at kombinationen med billigere pesticider og dyrere korn vil afspejle det pesticidforbrug og de reduktionsmuligheder, der med brug af de nye og justerede pesticidanvendelser samt den aktuelle arealanvendelse ville kunne have været beregnet for Bicheludvalget for basisåret 1995/96.
Figur 7.5 viser effekt af ændrede prisrelationer for korn og pesticider.
Figur 7.5. Effekt af ændrede prisrelationer for korn og pesticider
Kilde: Driftsøkonomiske beregninger for 10 udvalgte bedriftstyper opregnet for hele landet
Det fremgår af figuren, at prisrelationerne for pesticider og korn har stor betydning for pesticidforbruget og reduktionsmulighederne. Med de nuværende prisrelationer er der det optimale pesticidforbrug 1,74 BI. Med dyrere pesticider og billigere korn reduceres det optimale pesticidforbrug til under 1,65 BI. Med billigere pesticider og dyrere korn (svarende til Bicheludvalgets basisår 95/96) vil det optimale pesticidforbrug derimod øges til 1,81 BI. Man kan derfor sige, at prisudviklingen siden 1995/96 har reduceret behovet ved en uændret arealanvendelse for pesticider i økonomisk optimum med 0,07 BI (1,81-1,74 BI) ved en fastholdt arealanvendelse (som i 2001).
Klik her for at se "Tabel 7.8"
De ændrede prisrelationer har tilsyneladende en større betydning ved en reduceret pesticidanvendelse end i optimum. En reduktion til 1,4 BI er således blevet ca. 40 kr. billigere pr. ha siden Bicheludvalgets basisår 1995/96.
Figur 7.6 viser effekt af landmandens krav til aflønning af arbejdsindsatsen.
Det fremgår af figuren, at landmandens krav til aflønning har størst betydning for reduktionsomkostningerne i den optimale nudrift. En meget lav timepris (60 kr. pr. time) påvirker tilsyneladende ikke pesticidforbruget Ved et krav om høj aflønning (250 kr. pr. time) øges pesticidforbruget derimod med ca. 0,08 BI (1,82-1,74 BI) i økonomisk optimum. Ved et krav om en højere marginalnytte udlignes effekten af en højere timeløn. En højere timeløn vil derfor ikke fordyre en reduktion til 1,4 BI.
Figur 7.6 Effekt af landmandens krav til aflønning af arbejdsindsatsen
Kilde: Driftsøkonomiske beregninger for 10 udvalgte bedriftstyper opregnet for hele landet
7.4.4 Mekanisk ukrudtsbekæmpelse og sortsvalg
I beregningerne med begrænset mulighed for mekanisk ukrudtsbekæmpelse kan der kun benyttes radrenser og båndsprøjte på 1/3 af arealet med henholdsvis roer, majs, og vinterraps. Ligeledes vil kun 1/3 af arealet med henholdsvis lægge- og spisekartofler kunne aftoppes maskinelt.
Figur 7.8 viser effekt af mekanisk ukrudtsbekæmpelse samt sortsvalg i korn.
Figur 7.8. Effekt af mekanisk ukrudtsbekæmpelse samt sortsvalgt i korn
 Kilde: Driftsøkonomiske beregninger for 10 udvalgte bedriftstyper opregnet for hele landet
Det fremgår af figuren, at begrænsninger på mulighederne for et sundere sortsvalg i foderhvede og vårbyg samt kortsigtede begrænsninger på muligheden for mekanisk ukrudtsbekæmpelse (”1/3 Mek+1/3Sort”) vil øge pesticidforbruget med 0,08 BI (1,82 BI-1,74 BI) i forhold til det økonomisk optimale (”Basis”). Begrænsningerne vil tillige fordyre en reduktion til 1,4 BI med ca. 20 kr. pr. ha. Figuren viser også, at en begrænsning på mulighederne for mekanisk ukrudtsbekæmpelse og et sundere sortsvalg i korn kan opveje effekten af de ændrede prisrelationer for korn og pesticider (”Billig kemi, dyrt korn”). I beregningerne for Bicheludvalget kunne alle roerne blive radrenset og båndsprøjtet, men der var ingen sunde foderhvedesorter til rådighed. De nye sundere kornsorter og de ændrede prisrelationer siden Bicheludvalget opvejer akkurat effekten af nogle kortsigtede begrænsninger på den mekaniske ukrudtsbekæmpelse.
Afhængigt af de valgte begrænsninger vil det derfor være økonomisk optimalt for landbruget at reducere pesticidforbrug fra de aktuelle ca. 2,01BI til et niveau omkring 1,7 til 1,8 BI.
For det tilfælde at samfundet ville kompensere landbruget for en reduktion til fx 1,4 BI, kan det diskuteres, hvorvidt landbruget skal have kompensation for at reducere forbruget fra det økonomisk optimale forbrug på mellem 1,7 og 1,8 BI (en kompensation på 50 – 70 kr. ha) eller fra det det nuværende forbrug på ca. 2,0 BI (en kompensation på 0 kr. pr. ha).
7.4.5 Opsummering
De gennemført beregninger har vist, at det vil være økonomisk optimalt for landbruget at reducere pesticidforbruget fra de nuværende ca. 2,0 BI til ca. 1,7 BI. Det er også vist, at en reduktion til 1,4 BI - på trods af begrænsninger i mulighederne for mekanisk ukrudtsbekæmpelse, på trods af begrænsninger i sortsvalget i korn og på trods af fastholdt arealanvendelse - kan gennemføres stort set uden økonomiske omkostninger for landbruget.
Det er i øvrigt vist:
- At en høj timeløn (250 kr. time) øger det økonomisk optimale pesticidforbruget med 0,08 BI, men ikke vil fordyre en reduktion til fx 1,4 BI.
- At de ændrede prisrelationer for korn og pesticider siden 1995/96 har reduceret behovet for pesticider med 0,07 BI i økonomisk optimum og reduceret omkostninger af en reduktion til fx 1,4 BI med 40 kr. pr. ha.
- At begrænsede muligheder for et sundt sortsvalg og kortsigtede begrænsninger i mulighederne for mekanisk ukrudtsbekæmpelse i sig selv vil øge pesticidforbruget med 0,08 BI i forhold til det økonomisk optimale, og fordyre en reduktion til fx 1,4 BI med ca. 20 kr. pr. ha.
De analyserede reduktioner i pesticidforbruget har været drevet af et stigende krav til pesticidernes marginalnytte. Det har vist sig at give nogle ”retfærdige” reduktioner, hvor de forskellige bedriftstyper belastes meget ens. Ved at styre en reduceret pesticidanvendelse med brug af en krævet mindste marginalnytte sikrer man således, at pesticiderne udnyttes lige godt i alle afgrøder og på alle bedriftstyper, og man undgår nogle ekstreme løsninger, hvor nogle få bedriftstyper rammes meget hårdt, mens andre stort set går fri. Marginalnytten kan derfor være nøglen til de størst mulige reduktioner i pesticidforbruget for de mindst mulige omkostninger og den mest retfærdige omkostningsfordeling..
Mulighederne for og betydningen af sortsvalget i korn, mulighederne for en øget mekanisk ukrudtsbekæmpelse og justeringer i sædskiftet vil blive yderligere diskuteret og belyst for nogle udvalgte bedrifter i det næste kapitel (kapitel 8).
______________________________________________________________________
9 I analyserne med mulighed for justeringer i sædskiftet (kapitel 8) er problemet løst med brugen af dendriftsøkonomiske planteavlsmodel.
| Forside | | Indhold | | Forrige | | Næste | | Top |
|