|
| Forside | | Indhold | | Tilbage | | Udskriftsvejledning |
Håndtering af lettere forurenet jord - Konsekvensvurdering
Bilag 3
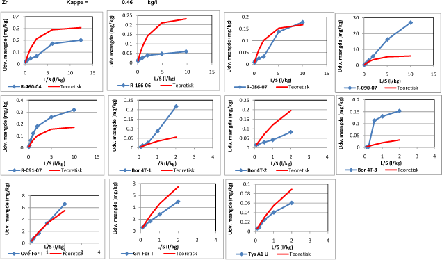
Sammenligning af eksperimentelt fundet udvaskning og teoretisk udvaskning beregnet ved hjælp κ (L/S = 0-2 l/kg)























| Forside | | Indhold | | Tilbage | | Udskriftsvejledning |
Version 1.0 Maj 2009, © Miljøstyrelsen.
|